В электромеханическом преобразовании энергии в АД участвуют трехфазная обмотка 1, расположенная на неподвижном статоре 2 и создающая круговое вращающееся магнитное поле, и обмотка 3 вращающегося ротора 4, вал 5 которого соединен с исполнительным механизмом. Между статором и ротором предусматривается воздушный зазор 6.

Рис. 1 — Принцип действия асинхронного двигателя
При вращении магнитного поля со скоростью:

линии магнитной индукции:

пересекают проводники обмотки ротора и в них индуктируется ЭДС Е2 и протекает ток. Направление ЭДС определяется по правилу «правой руки», а ее величина равна:

где L – активная длина проводника обмотки ротора;
ν1 - линейная скорость движения магнитного поля статора:

D – диаметр расточки статора.
Направление тока I2 совпадает с направлением ЭДС Е2пр. В результате взаимодействия проводников с током и магнитного поля на каждый проводник действует электромагнитная сила:

направление, которой определяется по правилу «левой руки».
Совокупность этих сил создает на роторе результирующую силу Fрез и электромагнитный момент Мэм, приводящий ротор во вращение со скоростью n2 в ту же сторону, что и вращение поля статора. Вращение ротора через вал передается исполнительному механизму. Таким образом, электрическая энергия, поступающая в обмотку статора из сети, преобразуется в механическую энергию. С началом движения ротора ЭДС в проводниках ротора определяются разностью скоростей ν1 и ν2
|
|
|

где ν2

Это линейная скорость движения проводника ротора.
Чем выше скорость вращения ротора n2, тем меньшая ЭДС в нем индуктируется, тем меньше ток Ι2, тем меньше сила f пр и Fрез. При достижении ротором скорости вращения n2 = n1, E2 = 0, действие электромагнитных сил прекращается и вращение ротора замедляется под действием сил трения (на холостом ходу) или под действием момента сопротивления исполнительного механизма (при работе под нагрузкой). Но когда n2 станет меньше n1, опять начнет действовать электромагнитная сила.
Следовательно, в рассматриваемой системе возможно только асинхронное (несинхронное) вращение ротора относительно вращающегося магнитного поля статора.
Электромагнитный момент Мэм уравновешивается моментом сопротивления Мс исполнительного механизма. Чем больше Мс, тем больше должен быть вращающий момент Мэм, который может возрасти в первую очередь за счет тока в проводниках ротора. Ток при постоянстве сопротивления проводника пропорционален ЭДС, которая зависит от скорости пересечения проводников ротора вращающимся магнитным полем.
Следовательно, чем больше момент сопротивления, тем меньше скорость вращения ротора и наоборот.
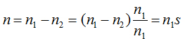
|
|
|
Отношение:

При неподвижном роторе (n2 = 0) скольжение равно 1,0. Это для АД режим короткого замыкания. При холостом ходе, когда скорость ротора максимально приближается к синхронной (n2 = n1) скольжение минимально и очень близко к нулю. Скольжение, соответствующее номинальной нагрузке АД, называется номинальным скольжением Sн и составляет единицы процента, в зависимости от типа и назначения двигателя.
С учетом отношения, скорость вращения ротора может быть выражена через n1 и скольжение s:

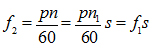
В рабочем режиме АД вращающееся магнитное поле статора пересекает обмотку ротора со скоростью:

Частота ЭДС и токов, наводимых этим полем в обмотке ротора, равна:

Таким образом, частота ЭДС и токов в роторе зависит от сколь- жения. Так, при S=1 (при пуске) f2 = f1, при номинальном режиме нагрузки Sн = (0,02…0,04), f2= 1…2Гц.
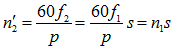
Протекающие в обмотке ротора токи создают МДС и магнитное поле ротора, которые вращаются относительно ротора со скоростью:

С учетом:

cкорость вращения этого поля относительно неподвижного статора составляет:

т.е. магнитное поле ротора вращается в расточке статора с той же скоростью и в ту же сторону, что и поле статора. Стало быть, они неподвижны друг относительно друга, образуют единое магнитное поле, созданное совместным действием МДС статора и ротора.
Таким образом, вектор:

на рис.1 необходимо рассматривать как вектор результирующего магнитного поля.
Условие неподвижности друг относительно друга магнитных полей статора и ротора означает, что число пар полюсов обмоток статора и ротора должно быть обязательно одинаково, p1 = p2 = p. В короткозамкнутом роторе это действие выполняется автоматически, в двигателе с фазным ротором оно должно быть обеспечено при проектировании. В то же время соотношение между числом фаз обмоток статора и ротора может быть произвольным.
Асинхронная машина обратима, т.е. может работать как в двигательном, так и в генераторном режимах. Если ротор с помощью постороннего двигателя разогнать до скорости вращения n2 >n1, то изменится направление ЭДС и тока в проводниках ротора, изменит свое направление и электромагнитный момент, который станет тормозящим. Асинхронная машина механическую энергию, получаемую от приводного двигателя, преобразует в электрическую и отдает в сеть, т.е. переходит в генераторный режим.
В процессе эксплуатации асинхронного двигателя возможен режим работы при S >1,0, когда ротор вращается в сторону, противоположную направлению вращения поля статора. В этом режиме, называемом режимом электромагнитного торможения (или режимом противовключения), ЭДС и ток в роторе направлены также как в двигательном режиме, однако электромагнитный момент направлен против движения ротора, т.е. является тормозящим. В машине происходит преобразование как электрической энергии, поступающей из сети, так и механической энергии, передаваемой с вала.