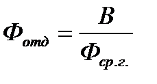
Основным стоимостным показателем, характеризующим уровень использования основных средств является показатель фондоотдачи (Фонд.), т.е. выпуск продукции на 1 руб. основных средств.
(2.20)
– фондоотдача;
– выручка;
– среднегодовая стоимость основных средств.
Таблица 2.15 – Исходные данные
| Показатель | Источник | Значение |
| Раздел 2.4. | 282 175,00 (руб.) |
| Раздел 10.2. Таблица 10.2 – Расчет отпускной стоимости и выручки предприятия от реализации продукции | 713 456 555,30 (руб.) |







