2) тестирование или численные оценки экспертов.
На втором этапе осуществляется разработка классификации и определение номенклатуры показателей качества оцениваемой продукции, подготовка анкет и пояснительных записок для экспертов, выбор методов, способов и процедур оценивания. Он выполняется рабочей группой, которая учитывает особенности оцениваемой продукции, установленные сроки выполнения работы, ее трудоемкость, области возможного использования полученных результатов и определяет перечень операций для выполнения экспертами. Выявление суждений экспертов производится интервьюированием и анкетированием.
Третий этап – это работа экспертной группы, члены которой выражают свои суждения в соответствии с установленными на втором этапе методами, способами и процедурами, таким образом, происходит оценка потребительских свойств продукции.
На четвертом заключительном этапе осуществляется обработка экспертных суждений и оформляется экспертное заключение. Результаты экспертного оценивания могут быть представлены в балловом измерении или в виде ранжированного ряда.
При экспертном оценивании получили широкое распространение такие методы оценки как принудительное распределение, ранжирование и парное сравнение. Принудительное распределение – это метод оценки качества, оперирующий малым количеством категорий качества продукции и приписывающий оцениваемые объекты к той или иной категории. Обычно используют шкалы с нечетным числом категорий и средним уровнем качества. Наиболее предпочтительными являются шкалы с пятью и семью градациями.
Ранжирование состоит в том, чтобы расположить оцениваемые свойства или атрибутивные показатели по рангу, который присваивается в зависимости от отношения потребителя к тому или иному оцениваемому признаку. Ранжирование сформировалось как метод оценки качества продукции или услуги, заключающийся в том, что все оцениваемые признаки располагают от наиболее важного к менее значимому признаку для потребителя. При экспертном оценивании часто применяется оценка в рамках 5-ти и 10-ти баллового диапазона, когда выявляется не качество, а значимость объектов (показателей) относительно друг друга.
Для подтверждения представительности и согласованности оценок экспертов применяют так называемый непараметрический метод изучения взаимосвязи между рядами чисел. Среди непараметрических методов наибольшее распространение получили ранговые коэффициенты связи – коэффициент Кендалла (коэффициент конкордации) и коэффициент корреляции рангов или коэффициент Спирмена. Названные коэффициенты могут быть использованы для определения тесноты связей, как между количественными, так и между качественными признаками при условии, что все их значения упорядочены или ранжированы по степени убывания или возрастания признаков.
Технология экспертного оценивания методом ранжирования включает следующие процессы:
1) все признаки оценки (свойства, показатели качества) нумеруются произвольно;
2) эксперты приписывают признакам ранги и ранжируют в ряд;
3) ранжированные ряды свойства или показателей продукции, составленные экспертами, сопоставляются;
4) устанавливается представительность оценки определением степени согласованности мнений экспертов с использованием ранговых коэффициентов связи: ранговый коэффициент корреляции Кендалла и коэффициент корреляции рангов Спирмена;
5) при низкой степени согласованности рядов по коэффициенту конкордации происходит переход экспертов к повторному ранжированию оцениваемых признаков;
6) при допустимой согласованности, определяемой ранговыми коэффициентами связи, происходит переход к расчетным финальным операциям;
7) рассчитываются коэффициенты весомости показателей качества продукции или услуг и обсуждаются возможности по улучшению качества.
Метод парного сравнения заключается в том, что ранжированные признаки качества в анализируемый период сравнивают с одноименными признаками из ряда с нормативными рангами и определяют с использованием коэффициента корреляции рангов меру приближения к желаемому качеству.
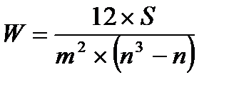
Особенностью применения наиболее распространенного метода ранжирования является присущий ему субъективизм, а также явление конформизма – влияние преобладающего в группе суждения на мнение эксперта. Для установления степени согласованности мнений экспертов применим ранговый коэффициент корреляции – коэффициент конкордации (W), вычисляемый по формуле:
, (12.1)
где m – количество экспертов;
n – число показателей качества или объектов оценки;
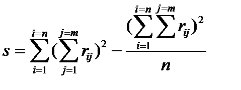
S – отклонение суммы квадратов рангов от их средней, определяется по формуле:
, (12..2)
где
– ранг i -го признака, который присвоен ему j -м экспертом.
Коэффициент конкордации, как и коэффициент корреляции, может принимать значения в диапазоне (–1 до + 1). При W=0 фиксируется полноеотсутствие согласованности до полного единодушия при W=
1. Если коэффициент конкордации имеет значение, по крайней мере, ниже
0,7, то проводится повторная оценка с предварительным анализом ошибок и обсуждением с экспертами полученных результатов. Иногда определяется новый состав экспертов.
Вопросы для контроля знаний
1. Какие основные функции должна включать деятельность по контролю качества продукции?
2. Посредством каких процессов проводится контроль качества продукции?
3. Что понимается под процессом «измерение» и испытания?
4. По каким признакам сгруппированы виды контроля качества?
5. В чем отличие выборочного от сплошного контроля качества продукции?
6. Какие применяются формы организации контроля качества?
7. Какие развиваются виды контроля в зависимости от применяемых способов и средств контроля качества?
8. Какие виды контроля включает цикл производства продукции?
9. Какова роль контроля качества проекта?
10. Какова цель контроля процессов производства?
11. Какая продукция подлежит контролю с применением измерительного и органолептического методов?
12. Что понимается под процессом «испытание»?
13. Что понимается под методикой и программой испытаний?
14. Какова область применения экспертного метода для оценки качества продукции?
15. В чем особенность экспертного оценивания с применением метода комиссии?






