Согласно определению качества по ГОСТ Р ИСО 9000-2001 как степени соответствия присущих характеристик объекта требованиям, то любое несоответствие рассматриваемся как дефект или брак продукции. Несоответствие – это отклонение показателей качества от нормы или другого вида требований к качеству. Примем во внимание такую закономерность как то, что любой измеренный показатель качества, а также число дефектов в очередной партии являются случайными величинами. В этой связи соответствие измеряемой величины требованиям представляется интервальным неравенством вида:
, (14.1)
где
– допустимое отклонение показателя качества
от заданного нормативного значения
; k – коэффициент жесткости пределов допустимых колебаний.
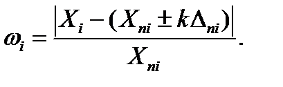
Интервал, определяемый по формуле (14.1), на контрольной карте качества (рис. 13.7) отображен в виде коридора допустимых отклонений, ограниченных верхним и нижним контрольными пределами, в рамках которого качество продукции не изменяется. Отклонение от границ «коридора» (превышение или снижение) i- го показателя качества идентифицировано как несоответствие, и вычисляется как абсолютная величина по формуле:
|
|
|
, (14.2)
или как относительная величина по формуле вида:
(14.3)
Таким образом, имеем, что «соответствие» – выполнение установленных требований нормативными документами, «несоответствие» – невыполнение установленных требований нормативными документами.
В дальнейшем величину
будем именовать как коэффициент несоответствие по i- ому показателю качества, а
как коэффициент соответствия, обозначаемый
, т.е.
(14.4)
Устранение несоответствия любого характера требует дополнительных трудовых и материальных вложений, а, следовательно, имеет определенную стоимость. Обозначим стоимость работы по устранению дефекта j по некоторой i -й продукции как cdij . Тогда стоимость устранения обнаруженного числа несоответствий (М) по i -й продукции будет равна:
. (14.5)






