Модель замкнутой системы массового обслуживания

Рассмотрим СМО, для которых интенсивность входящего потока заявок зависит от состояния системы, причем источник требований является внутренним и генерирует ограниченный поток заявок. Например, обслуживается машинный парк, состоящий из N машин, бригадой из R механиков (N>R), причем каждая машина может обслуживаться только одним механиком. Интенсивность зависит от того, сколько машин в данный момент находится в эксплуатации (N-k) и сколько машин обслуживается или стоит в очереди, ожидая обслуживания (k). Входящий поток требований исходит из ограниченного числа эксплуатируемых машин (N-k), которые в случайные моменты времени выходят из строя и требуют обслуживания. Общий входящий поток имеет интенсивность(N-k)λ. Требование, поступившее в систему в момент, когда свободен хотя бы один канал, немедленно идет на обслуживание. Если требование застает все каналы занятыми обслуживанием других требований, то оно не покидает систему, а становится в очередь и ждет, пока один из каналов не станет свободным. Таким образом, в замкнутой СМО входящий поток требований формируется из выходящего.
Состояние Sk системы характеризуется общим числом требований, находящихся на обслуживании и в очереди, равным k, k=0, 1,..., N. При этом число объектов, находящихся в эксплуатации, равно N-k. Если λ интенсивность потока требований в расчете на одну машину, то:

при 0<=k<=N,

при k>N;

при 0<=k<R,

при R<=k<=N,

при k>N.

Система алгебраических уравнений, описывающих работу замкнутой СМО в стационарном режиме, выглядит следующим образом:
;

, 0<k<R;

, R<=k<N;

.

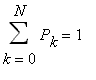
Решая данную систему, находим вероятность k-го состояния:

, 1<=k<R,

, R<=k<=N.

Величина определяется из условия .

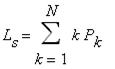
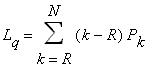
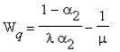
Определим следующие вероятностные характеристики СМО:
1) среднее число требований в очереди на обслуживание:
;

2) среднее число требований, находящихся в системе (на обслуживании и в очереди)

;

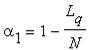
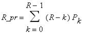
3) среднее число каналов, простаивающих из-за отсутствия работы

;

4) коэффициент простоя обслуживаемо объекта в очереди

;

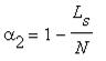
5) коэффициент использования объектов

;

6) коэффициент простоя обслуживающих каналов

;

7) среднее время ожидания обслуживания (время ожидания обслуживания в очереди)

.






Подборка статей по вашей теме: