Проверка общего качества уравнения парной линейной регрессии: построение таблицы дисперсионного анализа, вычисление коэффициента детерминации и проверка его значимости, стандартная ошибка уравнения регрессии. Оценка значимости коэффициентов уравнения парной линейной регрессии, построение доверительных интервалов для коэффициентов
Доверительный интервал для прямой регрессии. Прогнозирование в парных регрессионных моделях. Ошибка прогноза. Доверительный интервал прогноза. Условия Гаусса-Маркова. Теорема Гаусса-Маркова
Парная регрессия представляет собой уравнение, описывающее связь между двумя переменными: зависимой переменной
и независимой переменной
. Иногда переменную
называют результатом, а переменную
– фактором:
, при этом функция может быть как линейной, так и нелинейной. В данной главе более детально рассмотрим линейную парную регрессию. Предположим, что у нас есть набор значений двух переменных
Соответствующие пары
можно изобразить на одной плоскости:
|
|
|

Параметр
соответствует отрезку прямой, отсекаемому линией регрессии при пересечении с осью ординат, параметр b определяет наклон линии регрессии к оси абсцисс. При этом параметр a традиционно принято называть свободным членом регрессии, а параметр
– коэффициентом регрессии, который показывает, на сколько единиц в среднем изменится значение
при изменении
на одну единицу.
Допустим, что нашей задачей является подбор функции
из параметрического семейства функций
наилучшим образом описывающая зависимость
от
В качестве меры отклонения функции
от исходных наблюдений можно использовать:
- сумму квадратов отклонений;
- сумму модулей отклонений;
- другие меры отклонений.
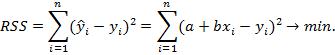
Согласно методу наименьших квадратов (МНК) неизвестные параметры модели выбираются таким образом, чтобы сумма квадратов отклонений эмпирических значений от модельных была минимальной:

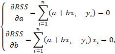
Среди преимуществ метода наименьших квадратов следует особенно отметить лёгкость вычислительной процедуры и хорошие по статистическим свойствам оценки. Данные факты объясняют широкое применение данного метода в статистическом анализе. Из недостатков наиболее существенным является – чувствительность к выбросам. Согласно необходимому условию экстремума функции нескольких переменных, необходимо найти частные производные по этим переменным и приравнять их к нулю. После ряда преобразований получим:


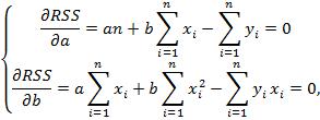
Разделим обе части полученной выше системы на
, получим систему нормальных уравнений:


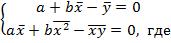
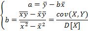
Решив полученную систему относительно неизвестных параметров
, получим:
|
|
|

Таким образом, остатки, оцененные таким образом, можно представить следующим образом:

Свойства оценок МНК определяются предположениями относительно свойств случайного возмущения в модели наблюдений. Эти предположения обычно называются условиями Гаусса – Маркова.






