Анализ состояния, развития и использования материально-технической базы розничной торговли
На выполнение плана и динамику товарооборота большое влияние оказывают состояние, развитие и эффективность использования материально-технической базы торговли. Под материально-технической базой прежде всего имеются в виду основные средства (фонды). В торговле по принадлежности они подразделяются на собственные и арендованные. В процессе анализа основные средства должны изучаться комплексно, независимо от их принадлежности. Основные средства подразделяются на производственные и непроизводственные. Производственные основные средства (участвующие в предпринимательской деятельности) классифицируются по отраслям народного хозяйства: промышленности, сельского хозяйства, торговли, общественного питания, строительства, заготовительных организаций и др. Непроизводственные основные средства включают здания, сооружения и инвентарь, находящиеся в ведении жилищно-коммунальных хозяйств, предприятий бытового обслуживания, органов просвещения, культуры, здравоохранения, физкультуры и социального обеспечения, В первую очередь изучают производственные основные средства, обеспечивающие нормальное функционирование торговых предприятий. По выполняемым функциям производственные основные средства подразделяются на активные и пассивные. К активным относят машины, оборудование, приборы и тому подобные основные средства, непосредственно участвующие в торгово-производственных процессах. Пассивные основные средства включают здания, сооружения, передаточные устройства и транспортные средства, обеспечивающие нормальное функционирование активных основных средств. По назначению основные средства торговых предприятий подразделяются на здания, сооружения, передаточные устройства, машины и оборудование, транспортные средства, инструменты, производственный и хозяйственный инвентарь и другие виды основных средств.
Последние годы в нашей стране успешно развивается сеть супермаркетов и гипермаркетов, крупных торговых центров, создаются агрегированные торговые структуры, транспортно-складские комплексы, автоматизированные системы управления современные системы безналичных расчетов с покупателями с применением пластиковых и дисконтных карт. Все это вызывает необходимость крупных капитальных вложений, а следовательно, комплексного и глубокого исследования их экономической целесообразности и эффективности.
Анализ материально-технической базы торговли обычно начинают с изучения и оценки состава и структуры производственных основных средств. В торговле, как и в других отраслях народного хозяйства, происходит перевооружение предприятий современными машинами и оборудованием, и поэтому их доля в общем объеме основных средств должна расти. Необходимо отметить, что техническая оснащенность многих розничных торговых предприятий низка. Далеко не полностью удовлетворяются потребности отрасли по выпуску торгово -технологического и подъемно-транспортного оборудования. В связи с этим ставится задача улучшать использование имеющегося парка машин и оборудования, своевременно и полно оснащать торговые предприятия современной техникой.
Для оценки состояния основных средств и их влияния на торгово-производственные процессы определяют следующие показатели:
• коэффициент физического износа основных средств, рассчитываемый отношением суммы износа к первоначальной или восстановительной их стоимости;
• коэффициент обновления, определяемый отношением суммы вновь поступавших основных средств за год (или за более длительный период) к их остатку на конец года;
• коэффициент выбытия, определяемый отношением выбывших основных средств за год (или за более длительный период) к их остатку на начало года;
• коэффициент прироста основных средств, исчисляемый отношением суммы их прироста за год к остатку основных средств на начало года;
• долю активной части производственных основных средств в общей их стоимости, которая характеризует технический уровень торгового предприятия;
• показатель фондовооруженности труда, рассчитываемый отношением среднегодовой стоимости производственных основных средств к среднесписочной численности работников;
• показатель технической вооруженности труда, определяемый отношением среднегодовой стоимости активных производственных основных средств к среднесписочной численности работающих.
Анализ показателей оценки состояния основных средств обычно проводят в динамике, так как на практике отсутствует планово-нормативная информация.
Коэффициенты обновления, выбытия и прироста основных средств необходимо изучать взаимосвязанно (по всем основным средствам и отдельно — по производственным основным фондам, а внутри их —- по отдельным видам основных средств), что позволяет глубоко проанализировать и оценить воспроизводство материально-технической базы торговли.
Необходимо также определить обеспеченность торговых предприятий отдельными видами машин, оборудования, помещениями (сравнением фактического их наличия с плановой потребностью для успешной торговой и другой деятельности). Обобщающими показателями оценки обеспеченности предприятий торговли производственными основными фондами являются фондовооруженность и техническая вооруженность труда. Рост фондовооруженности и особенно технической вооруженности ведет к повышению производительности труда. В связи с этим их следует анализировать взаимосвязано (сопоставлением за ряд лет темпов роста производительности труда, фондовооруженности и технической вооруженности труда).
Для оценки технической оснащенности торговых предприятий определяют стоимость активной части основных производственных средств на 100 м2 торговой площади. Кроме того, исчисляют коэффициент механизации труда, представляющий собой долю работников, у которых труд механизирован более чем на 50 %, в общей численности работающих, и коэффициент механизации работ, определяемый отношением затрат времени на выполнение работ механизированным путем к общим затратам рабочего времени. Коэффициенты механизации труда и механизации работ обычно изучают по отдельным группам работников, что помогает полнее выявить возможности и резервы дальнейшей механизации и автоматизации торгово-производственных процессов.
Важным показателем технического состояния производственных основных средств является возрастной состав машин и оборудования. Машины и оборудование со сроком службы более 10 лет физически и особенно морально устаревают и их необходимо своевременно заменять. Анализ возрастного состава машин и оборудования должен проводиться по отдельным их видам с использованием стоимостных, натуральных и относительных показателей. Относительным показателем, в частности, может быть удельный вес (доля) каждой возрастной группы в общем количестве или в общей стоимости машин и оборудования.


Машины и оборудование по срокам их службы обычно группируют в следующих интервалах: до 5 лет; 5-10 лет; 10—15 лет; 15—20 лет и свыше 20 лет. Следует также определить и проанализировать средний возрастной их состав (по отдельным группам машин и оборудования и в целом по предприятию).
В процессе анализа необходимо установить, как развивается материально-техническая база торговли, изучить своевременность ввода в действие построенных основных средств. Согласно действующим нормативам, продолжительность строительства одноэтажного продовольственного магазина площадью 700 м2 — 14 месяцев; непродовольственного одноэтажного магазина площадью до 800 м2 — 11 месяцев; двухэтажного универмага площадью до 700 м2 — 21 месяц и т.д. Если план ввода в действие торговой сети и складских помещений не выполнен, то необходимо подсчитать потери в розничном товарообороте и прибыли. Потери в товарообороте определяют прямым счетом. Если удлинение сроков строительства составляет один, два, три и более полных месяца, то потери в товарообороте берутся в размере плана розничной реализации товаров на этот период. Если удлинение сроков строительства составляет неполный месяц, то предварительно определяют плановую среднедневную реализацию товаров, которую затем умножают на количество рабочих дней удлинения сроков строительства.
Важным вопросом анализа является изучение размеров магазинов и их специализации. Практика показывает, что наиболее высокую эффективность имеют в продовольственной торговле универсамы, а в непродовольственной — универмаги. Универсамы обычно функционируют на основе индустриальной технологии доставки и продажи товаров, прогрессивных методов обслуживания покупателей. В них примерно на 30 % выше выработка на 1 м2 торговой площади, на 25 % ниже издержки обращения, чем в продовольственных магазинах с универсальным ассортиментом. В универсамах обеспечивается комплексное предложение продовольственных товаров повседневного спроса, что сокращает нерациональные затраты времени покупателей на совершение покупок. По расчетам научно-исследовательских институтов, оптимально доля универсамов должна составлять примерно 70 % от общей площади всех продовольственных магазинов города. Аналогичные преимущества имеют и универмаги. В процессе анализа следует установить, какие имеются возможности для улучшения структуры торговой сети, расширения сети универсамов и универмагов, повышения эффективности работы магазинов.
Большое значение для развития розничного товарооборота и улучшения обслуживания покупателей имеет правильное размещение торговой сети. Исследования показывают, что радиус обслуживания покупателей по товарам повседневного спроса не должен превышать 400—500 м. В связи с этим необходимо изучить, соответствует ли дислокация магазинов другой торговой сети созданию максимальных удобств покупателям. Применяя приемы линейного программирования, можно разработать оптимальный вариант размещения торговой сети в городе (районе) и определить эффективность его внедрения.
Улучшению обслуживания покупателей и повышению эффективности использования материально-технической базы способствует развитие прогрессивных форм торговли (самообслуживания, продажи товаров по заказам, образцам, с открытой выкладкой, доставки товаров на дом). Практика показывает, что в торговых залах магазинов самообслуживания можно разместить и реализовать на 20—30 % больше разновидностей товаров, чем в магазинах с традиционными формами торговли. При продаже товаров по методу самообслуживания на 15-20 % сокращаются затраты времени покупателей на приобретение товаров. Наибольшая 
эффективность в продовольственных магазинах самообслуживания достигается, если доля фасованных товаров в их товарообороте составляет более 90 %, в том числе промышленной фасовки — не менее 80 %. По рекомендациям Украинского научно-исследовательского института торговли и общественного питания (УкрНИИТОПа) доля продажи товаров по методу самообслуживания должна составлять не менее 80 %, в том числе в торговле продовольственными товарами — не менее 85 %.
Для оценки экономической эффективности функционирования магазинов самообслуживания необходимо сравнить результаты их хозяйственной деятельности с показателями работы предприятий, осуществляющих торговлю традиционным методом, по степени выполнения плана товарооборота и темпам его роста в динамике, выработке на одного торгового работника и на 1 м2 торговой площади, соотношениям темпов роста производительности труда и средней заработной платы, уровням издержек обращения, доходности, рентабельности и т.п.
При анализе и оценке деятельности магазинов самообслуживания следует использовать технологические показатели (долю торговой площади в общей площади магазинов; коэффициент установочной площади, т.е. занятой под оборудованием; долю товарных запасов, размещенных в торговом зале; число разновидностей реализуемых товаров и др.) и социальные (затраты времени покупателей на совершение одной покупки; коэффициент завершенности покупок; количество услуг, оказываемых покупателям, и т.п.). Следовательно, проводя анализ, подсчитывают не только экономический, но и социальный эффект. Социальный эффект магазинов самообслуживания проявляется в повышении культуры торговли, экономии времени покупателей на приобретение товаров, росте дополнительных услуг покупателям и т.д. Проведенные исследования показывают, что многие магазины самообслуживания имеют низкую эффективность в связи с узким ассортиментом товаров, неправильным его формированием, недостатками в торгово-производственных процессах, товароснабжении, организации труда и материальной ответственности. Доля фасовщиков в магазинах самообслуживания нередко составляет 10—15 % от общей численности работников. В то же время в магазинах с традиционными формами торговли они обычно отсутствуют.
Показателями интенсивности и эффективности использования материально-технической базы на розничных торговых предприятиях (в том числе и в магазинах самообслуживания) помимо объема товарооборота на 1 м2 торговой или всей площади является фондоотдача (объем товарооборота на один рубль всех производственных основных средств или активной их части), фондоемкость (размер основных средств на один рубль товарооборота). Анализ показателей фондоотдачи и фондоемкости в торговле чаще всего проводят в динамике, так как сложно определить плановую среднегодовую стоимость производственных основных средств. В процессе анализа основное внимание уделяют выявлению и мобилизации резервов роста фондоотдачи при повышении качества обслуживания покупателей. Если в изучаемом периоде произошла переоценка производственных основных средств, то ее влияние на фондоотдачу измеряют путем расчета последней до и после указанных изменений и сравнением полученных результатов.
На фондоотдачу большое влияние оказывает переоценка (дооценка или уценка) основных средств. При дооценке основных средств фондоотдача снижается, при уценке — растет. Для измерения влияния этого фактора на фондоотдачу необходимо определить ее уровень с учетом переоценки основных средств и сравнить с фактической фондоотдачей отчетного года. Увеличение среднегодовой стоимости активных производственных основных средств по сравнению с планом способствовало росту товарооборота, а снижение их фондоотдачи отрицательно сказалось на развитии розничной реализации товаров. Далее необходимо изучить рациональность использования площадей торговых предприятий, установить возможности расширения торговой площади за счет сокращения подсобных и складских площадей, переоборудования и лучшей планировки торгового зала, оптимального размещения в нем товаров и т.п. Следует также установить, как магазины обеспечены оборудованием и машинами (современными измерительными приборами, 
кассовыми аппаратами, холодильным оборудованием, транспортными средствами, автоматами по продаже товаров, сканерами, терминалами, другими техническими средствами автоматизации учета и контроля реализации отдельных товаров и др.) и насколько эффективно они используются.
Использование материально-технической базы торговли непосредственно связано с режимом работы магазинов и, в частности, со сменностью их работы, временем начала и окончания рабочего дня, обеденного перерыва, выходными и санитарными днями. На практике отдельные продовольственные магазины работают с 8 или 9 ч утра в одну смену. Услугами таких торговых предприятий не может пользоваться преобладающая часть занятого населения (работающие в первую смену). Изучая режим работы магазинов, необходимо проверить, насколько он отвечает требованиям оптимального обслуживания покупателей. По магазинам, работающим в одну смену, определяют целесообразность их перевода на работу в полторы смены или изменения времени начала и окончания рабочего дня. По полутора- и двухсменным магазинам выявляют возможности повышения эффективности их работы в отдельные часы, особенно в вечернее время. При проведении такого анализа широко используют хронометражные наблюдения и производят подсчет выручки в отдельные часы работы. Изучение потоков покупателей в отдельные часы по дням рабочей недели позволяет разработать оптимальные графики выхода на работу продавцов, кассиров, других работников, обеспечивающие в часы пик привлечение максимально возможного числа работающих. Следует иметь в виду, что каждый дополнительный час работы магазина ведет к росту издержек обращения и особенно расходов на оплату труда. Необходимо также подсчитать потери рабочего времени, а в связи с этим и товарооборота, вследствие внепланового закрытия магазинов для проведения инвентаризаций, проверок и т.п. Одновременно изучают прогрессивность торговых и других технологических процессов, выявляют пути их совершенствования, что положительно сказывается на хозяйственной деятельности магазинов. В процессе анализа эффективности использования материально-технической базы магазинов следует определить, как изменились по сравнению с планом и прошлым годом
Показатели, характеризующие режим работы структурных подразделений торгового предприятия, повлияли на выполнение плана и динамику розничного товарооборота в различных направлениях: одни способствовали его росту; другие привели к уменьшению розничной реализации товаров.
Завершается анализ разработкой мер по реализации выявленных резервов развития и повышения эффективности использования материально-технической базы торговли, улучшения обслуживания покупателей. Особое внимание уделяют прогнозным резервам, использование которых должно быть осуществлено в будущем периоде.
Качество торгового обслуживания населения — обширное и емкое понятие. Оно включает степень удовлетворения покупательского спроса на отдельные товары, соблюдение ассортиментного минимума, широту ассортимента, завершенность покупки, культуру торговли, развитие прогрессивных форм торгового обслуживания населения, оказание дополнительных услуг покупателям, время их обслуживания и т.п. Анализ качества торгового обслуживания покупателей обычно начинают с изучения выполнения плана и динамики розничного товарооборота в ассортиментном разрезе. Однако данные о развитии реализации товаров по укрупненным товарным группам не могут служить основанием для оценки удовлетворения покупательского спроса. Для изучения этого вопроса используют материалы книг учета удовлетворенного и неудовлетворенного спроса покупателей, по данным которых устанавливают случаи и причины отсутствия в розничной торговой сети нужных для населения товаров. Многие товары, особенно непродовольственные, являются сложноассортиментными, и покупатели предъявляют спрос на товары определенных фасонов, расцветок, размеров и т.д. В связи с этим необходимо изучить, по каким товарам спрос оказался неудовлетворенным и какие из них пользуются повышенным спросом. Все это позволит предъявлять промышленным и оптовым предприятиям-поставщикам более обоснованные заказы на поставку товаров.
Анализ внутригруппового ассортимента реализуемых товаров проводят на основе выборок по данным текущего учета, первичных товарных документов, инвентаризаций и т.п. Используя эту информацию, можно определить объем реализации товаров определенных наименований, видов, размеров, сортов; изучить их качество и установить пути и возможности улучшения маркетинговой деятельности торгового предприятия. По данным проведенных проверок, обследований и оперативного учета удовлетворения покупательского спроса изучают качество торгового обслуживания населения, соблюдение магазинами ассортиментного минимума, выявляют случаи и причины перебоев в торговле отдельными, и прежде всего достаточными, товарами. Необходимо также проанализировать материалы выборочных обследований, проводимых органами Министерства статистики и анализа Республики Беларусь, торговыми предприятиями, их ассоциациями и НИИ, продажи отдельных товаров на душу населения, распределения семейного бюджета, соблюдения научно обоснованных норм потребления отдельных товаров. Все это позволяет выявить слабые места в развитии розничного товарооборота, удовлетворении потребностей населения в необходимых товарах и принять меры по улучшению маркетинговой деятельности магазинов и другой торговой сети.
В розничной торговле находится более миллиона наименований товаров, В связи с этим анализ внутригруппового их ассортимента является весьма трудоемким делом и может проводиться только при использовании ЭВМ и другой современной техники. Применение ЭВМ позволяет осуществлять учет и анализ движения товаров, в том числе и розничной их реализации в самом широком ассортименте.
В процессе анализа необходимо изучить развитие самообслуживания, других прогрессивных форм торговли, количество и качество оказываемых покупателям дополнительных услуг и определить их эффективность. Анализ информации о дополнительных услугах покажет, как повышается качество торгового обслуживания покупателей. По оценкам специалистов, каждая семья ежедневно затрачивает на покупку товаров 1,5 ч. Затраты времени покупателей снижаются при работе магазинов по методу самообслуживания на 30 %, при продаже товаров по заказам с получением их в магазине — на 50 %, по заказам с доставкой товаров на дом — на 70 % (по сравнению с традиционной формой обслуживания покупателей). Выявление путей и возможностей сокращения затрат времени покупателей на приобретение товаров, повышения качества их обслуживания — одна из главных задач анализа хозяйственной деятельности розничных торговых предприятий. Путем личных наблюдений и хронометража можно установить наличие очередей, потери времени покупателей, связанные с поиском нужных товаров, ожиданием обслуживания и их приобретением. Для снижения издержек потребления и более полного удовлетворения спроса покупателей на товары необходимо применять рациональные методы труда, обеспечивать в часы пик работу в торговом зале максимального числа работников. Используя методы теории массового обслуживания и данных хронометражных наблюдений, можно разработать оптимальные графики выхода на работу отдельных работников.
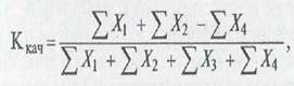
Таким образом, для оценки качества торгового обслуживания населения необходимо иметь информацию об ассортименте и качестве реализуемых товаров, соблюдении ассортиментного минимума, культуре и скорости обслуживания покупателей. Получить указанную информацию можно путем проведения специальных обследований и анкетного опроса покупателей. Качество обслуживания может быть оценено покупателями оценками «отличное», «хорошее», «удовлетворительное» и «неудовлетворительное». Изучение доли каждого вида ответов в общем их числе позволяет дать оценку качества торгового обслуживания населения. Для обобщающей оценки результатов обследования по следующей формуле определяют комплексный показатель качества обслуживания покупателей (К^):

где Х1 — ответы «отличное»; Х2 — ответы «хорошее»; Х3 — ответы «удовлетворительное»; Х4— ответы «неудовлетворительное».
Чем выше значимость показателя Ккач, тем лучше обслуживаются покупатели. Предел его значения может быть равен 1, когда все покупатели оценили обслуживание как «отличное» и «хорошее». При коэффициенте, равном 0,90 и выше, качество обслуживания считается отличным; от 0,89 до 0,80 — хорошим; от 0,79 до 0,70 — удовлетворительным и ниже 0,70 — неудовлетворительным.
Анкетный опрос, проведенный в открытом акционерном обществе «Торговый дом», дал следующую оценку качества обслуживания: «отличное» — 96 чел., «хорошее» — 187, «удовлетворительное» — 29 и «неудовлетворительное* — 17 чел. Комплексный показатель качества торгового обслуживания населения составил 0,81 [(96 + 187 - 17): (96 + 187 + 29 + 17)], т.е. качество обслуживания покупателей хорошее.
Комплексный показатель оценки качества торгового обслуживания населения может определяться и по другой методике: он приравнивается к единице, а частные его показатели — к определенной доле единицы. По каждому частному показателю устанавливают максимальное и минимальное его значение. Специальная комиссия на основе результатов обследования деятельности магазина дает оценку каждому показателю качества торгового обслуживания населения, которые затем суммируются. Чем выше значимость обобщающего показателя (на основе суммирования частных коэффициентов-показателей), тем выше качество торгового обслуживания. Заканчивается анализ разработкой мер по повышению эффективности и качества обслуживания покупателей.