Расчет показателей эффективности открытой одноканальной СМО с отказами. Расчет показателей эффективности открытой многоканальной СМО с отказами. Расчет показателей эффективности многоканальной СМО с ограничением на длину очереди. Расчет показателей эффективности многоканальной СМО ожиданием.
1. Потоки заявок в СМО
2. Законы обслуживания
3. Критерии качества работы СМО
4. Средняя длительность простоя системы.
5. Параметры моделей очередей. При анализе систем массового
6. I. Модель А – модель одноканальной системы массового обслуживания с Пуассоновским входным потоком заявок и Экспоненциальным временем обслуживания.
7. II. Модель В – многоканальная система обслуживания.
8. III. Модель С – модель с постоянным временем обслуживания.
9. IV. Модель D – модель с ограниченной популяцией.
Потоки заявок в СМО
Потоки заявок бывают входные и выходные.
Входной поток заявок – это временная последовательность событий на входе СМО, для которой появление события (заявки) подчиняется вероятностным (или детерминированным) законам. Если требования на обслуживание приходят в соответствие, с каким – либо графиком (например, автомобили приезжают на АЗС каждые 3 минуты) то такой поток подчиняется детерминированным (определенным) законам. Но, как правило, поступление заявок подчиняется случайным законам.
Для описания случайных законов в теории массового обслуживания вводится в рассмотрение модель потоков событий. Потоком событий называется последовательность событий, следующих одно за другим в случайные моменты времени
.
В качестве событий могут фигурировать поступление заявок на вход СМО (на вход блока очереди), появление заявок на входе прибора обслуживания (на выходе блока очереди) и появление обслуженных заявок на выходе СМО.
Потоки событий обладают различными свойствами, которые позволяют различать различные типы потоков. Прежде всего, потоки могут быть однородными инеоднородными.
Однородные потоки – такие потоки, в которых поток требований обладает одинаковыми свойствами: имеют приоритет первым пришел – первым обслужен, обрабатываемые требования имеют одинаковые физические свойства.
Неоднородные потоки – такие потоки, в которых требования обладают неодинаковыми свойствами: требования удовлетворяются по принципу приоритетности (пример, карта прерываний в ЭВМ), обрабатываемые требования имеют различные физические свойства.
Схематично неоднородный поток событий может быть изображен следующим образом
Соответственно можно использовать несколько моделей СМО для обслуживания неоднородных потоков: одноканальная СМО с дисциплиной очереди, учитывающей приоритеты неоднородных заявок, и многоканальная СМО с индивидуальным каналом для каждого типа заявок.
Регулярным потоком называется поток, в котором события следуют одно за другим через одинаковые промежутки времени. Если обозначить через
– моменты появления событий, причем
, а через
интервалы между событиями, то для регулярного потока
Рекуррентный поток соответственно определяется как поток, для которого все функции распределения интервалов между заявками
совпадают, то есть
Физически рекуррентный поток представляет собой такую последовательность событий, для которой все интервалы между событиями как бы "ведут себя" одинаково, т.е. подчиняются одному и тому же закону распределения. Таким образом, можно исследовать только один какой-нибудь интервал и получить статистические характеристики, которые будут справедливы для всех остальных интервалов.
Для характеристики потоков очень часто вводят в рассмотрение вероятность распределения числа событий в заданном интервале времени
, которая определяется следующим образом:
где
– число событий, появляющихся на интервале
.
Поток без последействия характеризуется тем свойством, что для двух непересекающихся интервалов времени
и
, где
,
,
, вероятность появления числа событий на втором интервале не зависит от числа появления событий на первом интервале.
Отсутствие последействия означает отсутствие вероятностной зависимости последующего течения процесса от предыдущего. Если имеется одноканальная СМО с временем обслуживания
, то при потоке заявок без последействия на входе системы выходной поток будет с последействием, так как заявки на выходе СМО не появляются чаще чем интервал
. В регулярном потоке, в котором события следуют друг за другом через определенные промежутки времени, имеется самое жесткое последействие.
Потоком с ограниченным последействием называется такой поток, для которого интервалы
между событиями независимы.
Поток называется стационарным, если вероятность появления какого-то числа событий на интервале времени
зависит только от длины этого интервала и не зависит от его расположения на оси времени. Для стационарного потока событий среднее число событий в единицу времени постоянно.
Ординарным потоком называется такой поток, для которого вероятность попадания на данный малый отрезок времени dt двух и более требований пренебрежительно мала по сравнению с вероятностью попадания одного требования.
Поток, который обладает свойствами стационарности, отсутствия последействия и ординарности называют пуассоновским (простейшим). Этот поток занимает центральное место среди всего многообразия потоков, так же как случайные величины или процессы с нормальным законом распределения в прикладной теории вероятности.
Пуассоновский поток описывается следующей формулой:
,
где
– вероятность появления
событий за время
,
– интенсивность потока.
Интенсивностью потока
называют среднее число событий, которые появляются за единицу времени.
Для пуассоновского потока интервалы времени между заявками распределены по экспоненциальному закону
Потоком с ограниченным последействием, для которого интервалы времени между заявками распределены по нормальному закону, называется нормальным потоком.
Законы обслуживания
Режим обслуживания (время обслуживания), так же как и режим поступления заявок, может быть либо постоянным, либо случайным. Во многих случаях время обслуживания подчиняется экспоненциальному распределению.
Вероятность того, что обслуживание закончится до момента t, равна:
где
– плотность потока заявок
Откуда плотность распределения времени обслуживания
Дальнейшим обобщением экспоненциального закона обслуживания может служить закон распределения Эрланга, когда каждый интервал обслуживания подчиняется закону:
где
– интенсивность исходного пуассоновского потока, k – порядок потока Эрланга.
Критерии качества работы СМО
Эффективность работы СМО оценивается различными показателями в зависимости от цепи и типа СМО. Наибольшее распространение получили следующие:
Абсолютная пропускная способность СМО с отказами (производительность системы) – среднее число требований, которые может обработать система.
Относительная пропускная способность СМО – отношение среднего числа требований, обработанных системой, к среднему числу требований, поступивших на вход СМО.
Средняя длительность простоя системы.
Для СМО с очередью добавляются такие характеристики:
Длина очереди, которая зависит от ряда факторов: от того, когда и сколько требований поступило в систему, сколько времени затрачено на обслуживание требований, которые поступили. Длина очереди является случайной величиной. От длины очереди зависит эффективность работы системы массового обслуживания.
Для СМО с ограниченным ожиданием в очереди важны все перечисленные характеристики, а для систем с неограниченным ожиданием абсолютная и относительная пропускная способности СМО теряют смысл.
На рис. 1 приведены системы обслуживания различной конфигурации.

Рис. 1
Параметры моделей очередей. При анализе систем массового обслуживания используются технические и экономические характеристики.
Наиболее часто используются следующие Технические характеристики:
1) среднее время, которое клиент проводит в очереди;
2) средняя длина очереди;
3) среднее время, которое клиент проводит в системе обслуживания (время ожидания плюс время обслуживания);
4) среднее число клиентов в системе обслуживания;
5) вероятность того, что система обслуживания окажется незанятой;
6) вероятность определенного числа клиентов в системе.
Среди Экономических характеристик наибольший интерес представляют следующие:
1) издержки ожидания в очереди;
2) издержки ожидания в системе;
3) издержки обслуживания.
Модели систем массового обслуживания. В зависимости от сочетания приведенных выше характеристик могут рассматриваться различные модели систем массового обслуживания.
Здесь мы ознакомимся с несколькими наиболее известными моделями. Все они имеют следующие общие характеристики:
А) пуассоновское распределение вероятностей поступления заявок;
Б) стандартное поведение клиентов;
В) правило обслуживания FIFO (первым пришел — первым обслужен);
Г) единственная фаза обслуживания.
I. Модель А — модель одноканальной системы массового обслуживания М/М/1 с Пуассоновским входным потоком заявок и Экспоненциальным временем обслуживания.
Наиболее часто встречаются задачи массового обслуживания с единственным каналом. В этом случае клиенты формируют одну очередь к единственному пункту обслуживания. Предположим, что для систем этого типа выполняются следующие условия:
1. Заявки обслуживаются по принципу «первым пришел — первым обслужен» (FIFO), причем каждый клиент ожидает своей очереди до конца независимо от длины очереди.
2. Появления заявок являются независимыми событиями, однако среднее число заявок, поступающих в единицу времени, неизменно.
3. Процесс поступления заявок описывается пуассоновским распределением, причем заявки поступают из неограниченного множества.
4. Время обслуживания описывается экспоненциальным распределением вероятностей.
5. Темп обслуживания выше темпа поступления заявок.
Пусть λ – число заявок в единицу времени;
μ – число клиентов, обслуживаемых в единицу времени;
n – число заявок в системе.
Тогда система массового обслуживания описывается уравнениями, приведенными ниже.
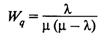
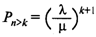
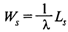
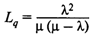
Формулы для описания системы М/М/1:
— среднее число клиентов в системе;
— среднее время обслуживания одного клиента в системе (время ожидания плюс время обслуживания);
— среднее число клиентов в очереди;
— среднее время ожидания клиента в очереди;
— характеристика загруженности системы (доля времени, в течение которого система занята обслуживанием);
— вероятность отсутствия заявок в системе;
— вероятность того, что в системе находится более чем K заявок.
II. Модель В — многоканальная система обслуживания M/M/S. В многоканальной системе для обслуживания открыты два канала или более. Предполагается, что клиенты ожидают в общей очереди и обращаются в первый освободившийся канал обслуживания.
Пример такой многоканальной однофазовой системы можно увидеть во многих банках: из общей очереди клиенты обращаются в первое освободившееся окошко для обслуживания.
В многоканальной системе поток заявок подчиняется Пуассоновскому закону, а время обслуживания —Экспоненциальному. Приходящий первым обслуживается первым, и все каналы обслуживания работают в одинаковом темпе. Формулы, описывающие модель В, достаточно сложны для использования. Для расчета параметров многоканальной системы обслуживания удобно использовать соответствующее программное обеспечение.
Для многоканальной системы с неограниченной очередью должно выполняться условие
< 1, где R – параметр загрузки системы (среднее число занятых каналов), n – минимальное количество каналов, при котором очередь не будет расти до бесконечности. В противном случае предельные вероятности существовать не могут.
Формулы для описания системы M/M/S:
— вероятность того, что система свободна;
— вероятность того, что в системе находится П заявок;
— вероятность того, что заявка окажется в очереди;
— среднее число занятых каналов;
— среднее число заявок в очереди;
— среднее число заявок в системе;
— время нахождения заявки в очереди;
— время нахождения заявки в системе.
III. Модель С — модель с постоянным временем обслуживания M/D/1.
Некоторые системы имеют Постоянное, а не экспоненциально распределенное время обслуживания. В таких системах клиенты обслуживаются в течение фиксированного периода времени, как, например, на автоматической мойке автомобилей. Для модели С С постоянным темпом обслуживания значения величин Lq и Wq Вдвое меньше, чем соответствующие значения в модели А, имеющей переменный темп обслуживания.
Формулы, описывающие модель С:
— средняя длина очереди;
— среднее время ожидания в очереди;
— среднее число клиентов в системе;
— среднее время ожидания в системе.
IV. Модель D — модель с ограниченной популяцией.
Если число потенциальных клиентов системы обслуживания Ограничено, мы имеем дело со специальной моделью. Такая задача может возникнуть, например, если речь идет об обслуживании оборудования фабрики, имеющей пять станков.
Особенность этой модели по сравнению с тремя рассмотренными ранее в том, что существует Взаимозависимостьмежду длиной очереди и темпом поступления заявок.
V. Модель Е — модель с ограниченной очередью. Модель отличается от предыдущих тем, что число мест в очереди Ограничено. В этом случае заявка, прибывшая в систему, когда все каналы и места в очереди заняты, покидает систему необслуженной, т. е. получает отказ.
Как частный случай модели с ограниченной очередью можно рассматривать Модель с отказами, если количество мест в очереди сократить до нуля.