Рассмотрев частный случай общей задачи нелинейного программирования, предполагая, что система ограничений содержит только уравнения:
F = F(x1,...,x2) → max(min)
gi(xi,...,xn) = bi (i = 1, m)
Все функции непрерывны вместе со своими первыми частными производными.
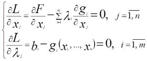
1) Для решения задачи строится функция Лагранжа:


2) Определяются частные производные.


3) Приравняя их к нулю. В результате получается система уравнений относительно n+m переменных.

Всякое решение системы уравнений определяет точку, в которой может иметь место экстремум функции F.
Решения задачи методом Лагранжа включает следующие этапы:
1. Составляют функцию Лагранжа.
2. Находят частные производные от функции Лагранжа по переменным и приравнивают их нулю.
3. Решают систему уравнений и находят все точки, в которых целевая функция F может иметь экстремум.
4. Среди найденных точек находят такие, в которых целевая функция F достигает максимального (минимального) значения.
Пример.
Метод множителей Лагранжа может быть применен и для случая, когда система ограничений задачи нелинейного программирования содержит только неравенства.


Решение такой задачи находится в 2 этапа:
1. Находят стационарные точки безусловного экстремума целевой функции F. Для этого определяют частные производные функции F и приравнивают их к нулю. В результате получают систему n уравнений относительно n переменных. Из всех решений системы выбираем только те точки, которые удовлетворяют системе строгих неравенств:

2. Находят точки условного экстремума целевой функции F при условиях:

Для этого строят функцию Лагранжа:

Находят частные производные от функции Лагранжа и приравнивают их нулю. Решают систему n+m уравнений относительно n+m переменных.
В результате, на 1 и 2 этапе находится множество точек, в которых целевая функция F может иметь экстремальные значения. Для определения максимального (минимального) значения целевой функции F необходимо вычислить значения этой функции в полученных точках.






