В случае если факторы, вызывающие отклонение значения случайной величины от ее ожидаемого значения, действуют редко, но число таких факторов велико, случайная величина может быть распределена по закону Пуассона. В первом приближении оценить принадлежность фактического распределения к пуассоновскому можно, сопоставив значения двух параметров фактического распределения:
– средняя величина вариации фактора;
– дисперсия вариаций фактора.
В случае близости перечисленных параметров может быть выдвинута гипотеза о том, что распределение является пуассоновским.
Равномерное распределение вероятности случайной величины потребности в период между поставками.
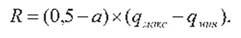
Данный случай означает, что любое значение потребности, лежащее в пределах от известного минимального (qмин) до известного максимального (qмакс), имеет равную вероятность.
Формула для расчета величины страхового запаса в случае равномерного распределения имеет вид

Как видим, изменение характера распределения оказывает существенное влияние на размер страхового запаса.
В заключение приведем высказывание автора ряда работ в области исследования операций Н. Ш. Кремера: "Найти аналитически оптимальные значении точки запаса S0 и объема партии n удается только в относительно простых случаях. Если же система хранения запасов имеет сложную структуру (много видов хранимой продукции, иерархическая система складов), используемые стохастические модели сложны, а их параметры меняются во времени, то единственным средством анализа такой системы становится имитационное моделирование, позволяющее имитировать ("проигрывать") на вычислительной технике функционирование системы, исследуя ее поведение при различных условиях, значениях параметров, отражая их случайный характер, изменение во времени и т.п.".






