В анализе использования ОПФ особое место занимает их активная часть.
Эффективность использования машин и оборудования характеризуется коэффициентами интенсивного, экстенсивного и интегрального использования, коэффициентом сменности.
Коэффициент интенсивного использования оборудования (Кинт) характеризует использование оборудования по производи-тельности. Он показывает, какую долю от паспортной (плановой) часовой производительности оборудования составляет фактически достигнутая часовая производительность.
![]() |
где ПФ – фактическая часовая производительность оборудования, т/ч (шт./ч);
ППАСП(ПЛ) – паспортная (плановая) часовая производительность оборудования, т/ч (шт./ч).
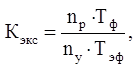
Коэффициент экстенсивного использования оборудования (Кэкс) характеризует использование оборудования по времени и по количеству и определяется делением фактического времени работы оборудования на плановый эффективный фонд времени:
![]() |
гдеnр(у) – количество фактически работающего (установленного) оборудования;
|
|
|
Тф(эф) – фактический (эффективный) фонд времени работы оборудования, час.
Тэф характеризует максимально возможный фонд времени работы оборудования и определяется по формуле
![]() |
где Ткал – календарный фонд времени, дн.;
Твых – количество выходных дней, дн.;
Тпразд – количество праздничных дней, дн.;
n – количество смен в сутки;
tсм – продолжительность смены, час.;
Трем – нормируемые затраты времени на ремонт, час.
Интегральный показатель использования оборудования – комплексный показатель использования оборудования, который определяется как произведение показателей экстенсивного и интенсивного использования оборудования:
![]() |
где Км – интегральный коэффициент или коэффициент использования производственной мощности.
Разница между единицей и Км показывает резерв производ-ственной мощности.
Для характеристики использования оборудования используется также коэффициент сменности, который определяется отношением числа отработанных станко-смен в сутки к общему числу станков, закрепленных за участком, цехом, предприятием:
![]() |
где Nс-с – количество фактически отработанных станко-смен в сутки;
n – общее количество станков в парке.











