Крахмал (С6Н10О5)n табиғатта кең тараған полисахарид. Күріште 80%-ке дейін, бидай мен жүгеріде 70—75%, картоп түйіндерінде 20% крахмал болады.
Крахмалдың құрылысы
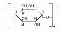
Крахмал — табиғи полимер. Ол екі полисахаридтен: амилоза мен аминопектиннен тұрады (45-сурет).
Полимерлену дәрежесі — n -нің мәні крахмалдың әр түрлі молекуласында шамамен 200-ден 2000-ға дейін болады. Крахмалдың молекулалық массасы бірнеше жүз мыңнан (амилоза) миллионға дейін (амилопектин) жетеді.
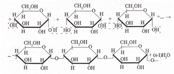
Крахмалдың макромолекуласы циклді α-глюкозаның қалдықтарынан тұрады. Крахмал түзілу процесінің сызбанұсқасы:

Яғни, крахмалдың қарапайым буыны, - C6H10O5 -







