Ответ: Динамические характеристики (ДХ) – зависимости мгновенных значений тока одного из электродов активного элемента от мгновенных значений напряжений на данном электроде в рабочем (динамическом) режиме, т.е. при наличии внешнего возбуждения и зафиксированных остальных параметрах (питание, нагрузка, и т. д.). Например, это может быть зависимость полного тока коллектора от полного напряжения на коллекторе при наличии полного переменного напряжения на базе.
Известно, что:

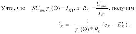
Если исключить из первого и второго выражений cos(ω t), то получится аналитическое выражение для ДХ. Из первого выражения получим:



Это уравнение прямой линии обычно строится в системе выходных характеристик транзистора (лампы).
Вид:

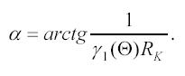
Наклон прямой определяется эквивалентным сопротивлением коллекторной цепи и углом отсечки коллекторного тока:

Рассмотрим ряд частных случаев:
![]() |
а) Θ =180о, в этом случае и динамическая характеристика имеет вид:

Д.Х. при
=180°
Здесь
, и наклон нагрузочной прямой определяется только сопротивлением коллекторной нагрузки. Как видно, с уменьшением коллекторной нагрузки наклон прямой уменьшается и стремится к нормали оси ек. Это линейный режим усиления мощности, обладающий плохими энергетическими показателями и КПД. Значение тока покоя не зависит от величины сопротивления RК.

Д.Х. при
=90°
Линия 1 – линия критического режима (ЛКР). Угол ее наклона определяется выражением:

Ток покоя равен 0.

Д.Х. при 90°<
<180°
Ток покоя можно найти по выражению:


Д.Х. при
<90°
В этом случае значение тока покоя – фиктивно (не существует).
! Все вышеописанные характеристики справедливы и для электронных ламп с соответствующими уточнениями.
