61-70. Найти производные следующих функций:
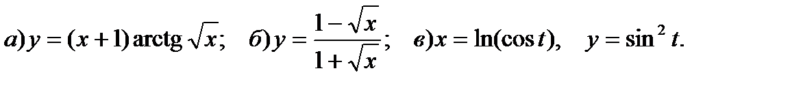
61. 
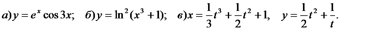
62. 
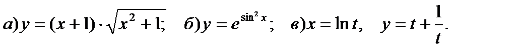
63. 
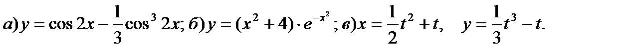
64. 
65. 
66. 
67. 
68. 
69. 
70. 
Задача 2.
71-80. Вычислить приближенно
, заменяя приращение функции ее дифференциалом.
| 71. |
| 72. |
| 73. |
| 74. |
| 75. |
|
| 76. |
| 77. |
| 78. |
| 79. |
| 80. |
|






