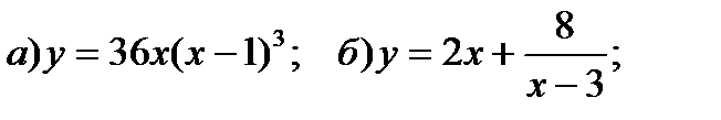
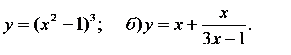
81-90. Заданные функции исследовать методами дифференциального исчисления. На основании результатов исследований построить графики функций.
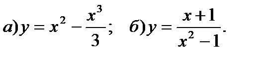
| 81. |
| 82. |
|
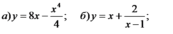
| 83. |
| 84. |
|
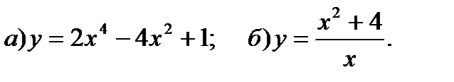
| 85. |
| 86. |
|
| 87. |
| 88. |
|
| 89. |
| 90. |
|
Задача 4.
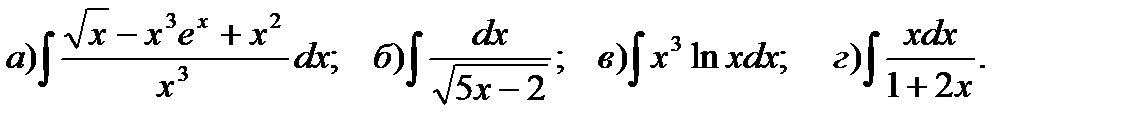
91-100. Найти интегралы. Результаты проверить дифференцированием.
91. 
92. 
93. 
94. 
95. 
96. 
97. 
98. 
99. 
100. 






