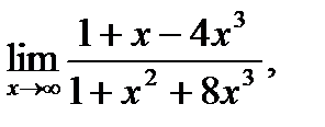
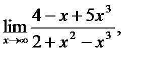
41-50. Вычислить пределы функций:
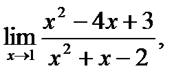
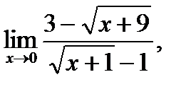
41. а)
б)
в) 
42. а)
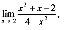
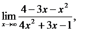
б)
в) 
43. а)
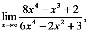
б)
в) 
44. а)
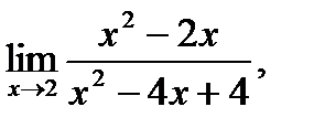
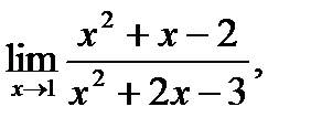
б)
в) 
45. а)
б)
в) 
46. а)
б)
в) 
47. а)
б)
в) 
48. а)
б)
в) 
49. а)
б)
в) 
50. а)
б)
в) 
Задача 6.
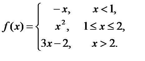
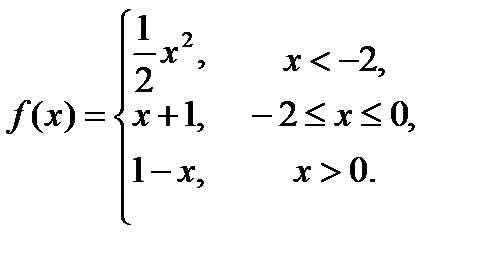
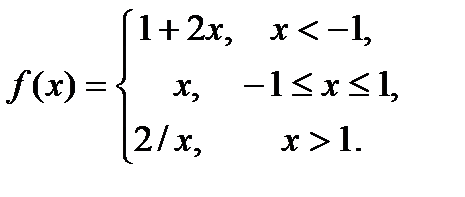
51-60. Задана функция y=f(x). Найти все точки разрыва функции, если они существуют. Построить график функции.
| 51. |
| 52. |
|
| 53. |
| 54. |
|
| 55. |
| 56. |
|
| 57. |
| 58. |
|
| 59. |
| 60. |
|
Контрольная работа № 2
Дифференциальное и интегральное исчисление. Функции нескольких переменных.






