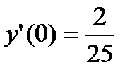
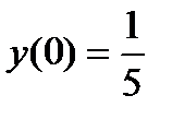
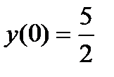
161-170. Найти частное решение дифференциального уравнения, удовлетворяющее заданным начальным условиям.
| 161. |
|
|
|
| 162. |
|
|
|
| 163. |
|
|
|
| 164. |
|
|
|
| 165. |
|
|
|
| 166. |
|
|
|
| 167. |
|
|
|
| 168. |
|
|
|
| 169. |
|
|
|
| 170. |
|
|
|
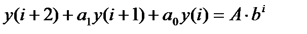
Задача 5.
171-180. Найти общее решение линейного разностного неоднородного уравнения второго порядка с постоянными коэффициентами 
| № задачи |
|
|
|
| № задачи |
|
|
|
|
| 171. | -1 | -2 | 172. | -2 | -3 | ||||
| 173. | -3 | -4 | 174. | -3 | -10 | ||||
| 175. | -4 | -12 | 176. | -4 | -21 | ||||
| 177. | -4 | -32 | 178. | -4 | -45 | ||||
| 179. | -30 | 180. |






