2.1. Производная функции.
Определение. Производной функции
называется предел отношения приращения функции к соответствующему приращению аргумента, когда приращение аргумента стремится к нулю:
.
Если этот предел конечный, то производная существует и функция
называется дифференцируемой в точке
. Производная обозначается также
или
. Процесс нахождения производной называется дифференцированием функции.
Правила дифференцирования функций. Пусть
- постоянная, а
,
- функции, имеющие производные, тогда
1.
.
2.
=
.
3.
.
4.
.
5.
,
.
6. Если функция
дифференцируемая по
, а функция
по x, то сложная функция
имеет производную
(правило дифференцирования сложных функций).
Таблица производных элементарных функций
1.
.
1 а.
. 1 б.
.
2.
. 2 а.
.
3.
. 3 а.
.
4.
. 5.
.
6.
. 7.
.
8.
. 9.
.
10.
. 11.
.
Пример 1. Используя правила дифференцирования и таблицу производных, найти производные следующих функций:
1)
, 2)
,
3)
, 4)
,
5)
, 6)
,
7)
.
Решение. 1) Перепишем данную функцию в виде:
, тогда 
.
2) Записываем данную функцию в виде степени:
и вычисляем:
.
3) Применив правило дифференцирования произведения (формула 4), находим:
.
4) Дифференцируя функцию
как сложную находим производную:
.
5) По правилу дифференцирования частного (формула 5) получаем:
.
6) По аналогии с примером 3 находим:

.
7) Так как данная функция - показательная, то, согласно формуле 2

2.2. Производные высших порядка. Производной второго порядка (второй производной) от функции
называется производная от ее производной, т.е.
.
Вторую производную также обозначают
или
. Производная от производной второго порядка называется производной третьего порядка и т. д. Производную
-го порядка обозначают
или
.
Пример 3. Найти вторую производную функции
.
Решение. Найдем сначала первую производную функции
, тогда вторая производная
.
2.3. Геометрические приложения производной.
Теорема.Если кривая задана уравнением
, то значение
производной
в точке
, равно угловому коэффициенту
касательной к кривой в точке
:
, где
(см. рис 9).
Уравнение касательной к кривой
в точке
имеет вид:
или
.
Определение. Углом между двумя кривыми в точке их пересечения называется угол между касательными к кривым в этой точке.
Угол
между прямыми с угловыми коэффициентами
и
находится по формуле:
,
причем знак “плюс” соответствует острому углу θ, а знак “минус” – тупому.
Если
, то касательные – взаимно перпендикулярны, а кривые называются ортогональными.
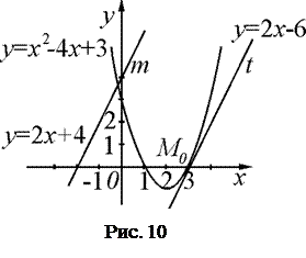
Пример3. Найти уравнение касательной к графику функции
, которая параллельна прямой
. Сделать чертеж.
Решение. График функции
– парабола. Так как
при
,
, то вершиной параболы является точка (2; –1). По условию, касательная
к параболе и данная прямая
, заданная уравнением
, параллельны, значит, их угловые коэффициенты равны:
,
,
.
Следовательно,
- абсцисса точки касания
параболы и прямой
,
– ее ордината. Таким образом, уравнение касательной
имеет вид:
или
(см. рис.10).
2.4. Дифференцирование функции, заданной параметрически.
Если функция
задана параметрически двумя уравнениями
,
,
, то ее производные вычисляются по формулам:
,
.
Примечание. Производные по аргументу
иногда, следуя Исааку Ньютону, обозначают точками наверху:
,
,
. В этих обозначениях формулы, по которым находятся производные параметрически заданной функции, принимают вид:
,
.
Пример 4. Найти
и
, если функция
задана параметрически:
.
Решение. Последовательно находим:
,
;
;
;
,
.
2.5. Дифференцирование неявной функции.
Говорят, что уравнение
задает неявно функцию
, на интервале
, если для всех
выполняется равенство
.
Для вычисления производной функции
следует продифференцировать по x тождество
, помня, что
есть функция от
, а затем полученное уравнение разрешить относительно
.
Пример 5. Найти значение
в точке
для функции, заданной неявно уравнением
.
Решение. Продифференцируем обе части уравнения по
(не забываем, что
зависит от
):
,
,
,
.
2.6. Правило Лопиталя.
При раскрытии неопределенностей
и
, кроме классических методов вычисления пределов, рассмотренных ранее, во многих случаях можно пользоваться правилом Лопиталя-Бернулли: если
или
и существует предел отношения их производных
, то
.
Это правило справедливо и в случае
.
Пример 6.
.
Пример 7.
.
Здесь мы дважды применили правило Лопиталя и воспользовались первым замечательным пределом.
Пример 8.
.
При раскрытии неопределенностей
и
для применения правила Лопиталя данное выражение надо преобразовать в отношение двух функций (в неопределенность
или
).
Пример 9.
.
Пример 10. 
.
При раскрытии неопределенностей
,
,
рекомендуется найти предварительно предел логарифма искомой функции.
Пример 11.
.
Решение. Введем обозначение
, тогда
.

. Так как
.
2.7. Исследование функции и построение ее графика.
Для построения графика функции
сначала проводим элементарное исследование: находим область определения, асимптоты, выясняем некоторые особенности функции (если они имеются), т. е. точки пересечения с осями координат, симметрия, периодичность. Затем, используя первую производную, находим интервалы монотонности, экстремумы, а по второй производной – интервалы выпуклости, точки перегиба.
Пример 12. Построить график функции
.
Решение. 1. Область определения данной функции:
.
2. Пределы функции в точках разрыва и на концах области определения (данная функция имеет одну точку разрыва):
;
;
.
3. Асимптоты. Если
, то прямая
– вертикальная асимптота. В нашем случае вертикальная асимптота имеет уравнение
. Прямая
является наклонной асимптотой, если существуют конечные пределы
и
.
Так как
;
, то наклонная асимптота имеет уравнение
.
Если
, то
– горизонтальная асимптота.
4. Точки пересечения графика с осями координат дают: во-первых, нули функции
(чтобы их найти, необходимо решить уравнение
) и, во-вторых, значение
, если
. Так как для данной функции
, то график проходит через точку О
.
5. Симметрия. Функция
– четная, если
; ее график симметричен относительно оси
. Функция
– нечетная, если
; ее график симметричен относительно начала координат. В нашем случае
;
,
т. е.
и
, следовательно, симметрии относительно осей координат у графика нет.
6. Периодичность. Если для некоторого числа
выполняется равенство
для всех
, то функция
– периодическая с периодом
. Очевидно, наша функция не является периодической.
7. Первая производная:
.
Находим к ритические точки, т.е. точки, в которых
(стационарные точки) или
не существует, имеем
,
производная не существует при
.
Отметив их на области определения функции, получим интервалы знакопостоянства производной
.
Определяем знак производной в каждом интервале. Там, где
, функция возрастает (), а там, где
, функция убывает ().
Результаты исследования сводим в таблицу:
| | (0; 1) | | | | ||
| + | – | | – | + | ||
| | | | | | | |
Экстремумы функции (максимум или минимум, если они есть):
.
8. Вторая производная:
.
Находим критические точки второго рода, т.е. точки, в которых
или не существует, имеем
,
, производная не существует при
.
Отметив их на области определения функции, получим интервалы знакопостоянства
.
Найдем промежутки выпуклости и вогнутости функции. Определяем знак производной
в каждом интервале. Кривая является вогнутой при тех значениях аргумента
, при которых
(в окрестности точки вогнутости график располагается над касательной к нему в этой точке; в таблице интервал вогнутости будем обозначать символом
). Кривая в точке
является выпуклой, если в этой точке
(в этой точке график располагается под касательной и выпуклостью вверх
). Результаты сводим в таблицу:
| | | | | | ||
| + | – | – | | + | ||
| | точка перегиба | | | |
![]() |
В окрестности точки
вторая производная
имеет разные знаки. Находим значение
, тем самым определяем точку
– точку перегиба. 9. Строим график (см. рис 11). При необходимости, находят несколько дополнительных точек.
Пример 13. Построить график функции
.
Решение. 1. Область определения данной функции
.
2.
;
, так как
.
3.
и
— вертикальные асимптоты;
— горизонтальная асимптота.
4.
график не пересекает ось
;
:
;
;
, т.к.
.
5 – 6. Нет.
7.
для всех
. Следовательно, функция возрастает на интервалах
и
.
8.
;
имеет знак тот же, что и аргумент
: 
– выпуклость вниз, т. е. вогнутость
;
– выпуклость вверх
. Точек перегиба нет.
9.Строим график (см. рис.12).
