Математика
2семестр
для студентов всех специальностей
заочной формы обучения
Тюмень 2007
Утверждено редакционно-издательским советом
Тюменского государственного нефтегазового университета
Составители: Осташков В.Н., к.ф.–м.н., доцент
Скалкина М.А., к.ф.–м.н., профессор
Рожнова В.А., старший преподаватель
© государственное образовательное учреждение высшего профессионального образования
«Тюменский государственный нефтегазовый университет»
ПРЕДИСЛОВИЕ
Методические указания разработаны на кафедре высшей математики ТюмГНГУ на основании учебных планов и содержат вопросы теории и решения типовых примеров.
В методические указания включены следующие разделы высшей математики: введение в математический анализ, дифференциальное исчисление функций одной и двух переменных, числовые и степенные ряды.
Напоминаем, что решения задач следует излагать подробно и аккуратно, объясняя и мотивируя все действия по ходу решения и делая необходимые чертежи.
|
|
|
Введение в математический анализ.
1.1. Функции и их графики. Следующие функции действительной переменной называются основными элементарными функциями:
1. Постоянная функция:
,
(рис. 1);
2. Степенная функция:
,
(рис. 2. a, 2. б, 2. в);
3. Показательная функция:
,
,
(рис. 3. a, 3. б);
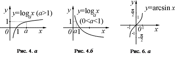
4. Логарифмическая функция:
,
,
(рис. 4. a, 4. б);
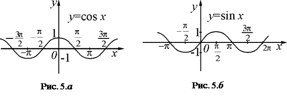
5. Тригонометрические функции:
,
,
,
(рис 5. a, 5. б, 5. в, 5. г);
6. Обратные тригонометрические функции:
,
,
,
(рис. 6. a, 6. б, 6. в, 6. г).
Графики элементарных функций:
![]() | ![]() | ||
![]() | ![]() | ||
Функция, полученная в результате последовательного выполнения композиции функций
и
, называется сложной функцией:
.
Элементарной функцией называется всякая функция, которая может быть получена из основных элементарных функций с помощью конечного числа арифметических операций, примененных к ним, и конечного числа их композиций.
Например, функция
, где
, называется линейной и является элементарной, так как она получена с помощью сложения двух функций, одна из которых получается путем умножения постоянной функции
на степенную функцию
, вторая – постоянная функция
.
Область определения функции
обозначают
.
Графиком функции
называется множество всех точек координатной плоскости
с координатами (
), причем аргумент
пробегает всю область определения
.
При построении графиков функции часто используют следующие простые геометрические рассуждения. Если Г - график функции
, то:
1) график функции
есть зеркальное отражение графика Г относительно оси
;
2) график функции
- зеркальное отражение графика Г относительно оси
;
|
|
|
3) график функции
- смещение графика Г вдоль оси
на величину а;
4) график функции
- смещение графика Г вдоль оси Oy на величину
.
5) график функции
,
– сжатие графика Г в
раз (при
) или растяжение в
раз (при
) вдоль оси
;
6) график функции
,
,
– растяжение графика Г в b раз (при
) или сжатие в
раз (при
) вдоль оси
.
Пример 1. Найти область определения для данных функций и построить их графики.
а)
; б)
.
Решение. а) Функция определена, если
или
. Так как корни уравнения
равны
и
, неравенство справедливо в отрезке
.
Итак,
:
, значения функции
. Составим таблицу значений функции и построим ее график
| -2 | -1 | |||||
| -2 | 0,2 | 0,8 | 0,8 | 0,2 | -2 |
Нетрудно видеть, что
, 
или
– это окружность с центром в точке
, радиусом
. Так как
графиком данной функции является верхняя половина этой окружности (см. рис.7. а).
![]() |
б)Логарифмическая функция определена для положительных аргументов, т. е.
, значит
:
. График можно построить, преобразовывая график функции
, т.е. сместив его влево на 1 и сжав в 3 раза вдоль оси
(см. рис. 7. б). 1.2. Предел функции. При вычислении предела функции
обычно руководствуются следующими соображениями:
1) для всякой элементарной функции
справедливо равенство
при любых
;
2) если
и функция
определена в некоторой окрестности точки
, то вычисление предела (раскрытие неопределенностей вида
) – достаточно сложная задача. Рассмотрим типичные случаи.
1. Рациональные функции. Если рациональная функция имеет вид
,
где
и
- некоторые многочлены, причем
, то возможны два случая:
а)
, тогда
;
б)
; в этом случае непосредственная подстановка
в дробь
приводит к неопределенности, которую мы будем условно записывать так:
. Для раскрытия неопределенности, как правило, приходится разлагать числитель и знаменатель на множители и сокращать на линейный множитель
.
Примечание. Если
, то
принадлежит области определения
функции
, и поэтому ее предел в точке
равен значению функции:
.
Пример 2. Вычислить:
.
Решение.
.
2. Иррациональные функции. Если неопределенное выражение содержит иррациональность, то, умножая на сопряженное выражение числитель и знаменатель, переводят иррациональность из знаменателя в числитель или наоборот.
Пример 3. Вычислить:
.
Решение. 
.
3. Предел при
. При вычислении предела при
в рациональных или иррациональных выражениях может возникнуть неопределенность вида
. Эту неопределенность раскрывают делением числителя и знаменателя на наивысшую степень
, входящую в выражение.
Пример 4. Вычислить
.
Решение.
.
4. Первый замечательный предел, т.е. предел вида

используется при раскрытии неопределенностей вида
в тригонометрических выражениях.
Пример 5. Вычислить
.
Решение.
.
Пример 6. Вычислить
.
Решение. 
.
5. Второй замечательный предел, т.е. предел вида

используют при вычислении пределов вида
, где
,
(что дает неопределенность вида
).
Пример 7. Вычислить
.
Решение. 
.











