Вызывается из меню Вставка ► Объект ► Microsoft Eguation 3.0.
В случае частого использования целесообразно вынести соответствующую кнопку на какую-нибудь панель инструментов из окна Вид ► Панель инструментов ► Настройка

С помощью редактора формул (Microsoft Eguation) записать следующие формулы:
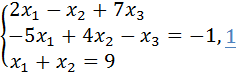
1. 
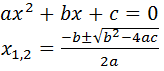
2.
корни квадратного уравнения
Нарисовать блок-схему разветвляющегося вычислительного процесса применительно к решению квадратного уравнения:
| да |
| Усл. 1 |
| Ветвь. 1 |
| да |
| Усл. 2 |
| Ветвь. 3 |
| Ветвь. 2 |
____________________
1 система линейных уравнений
3.
определить[F1]






