Резервирование - применение резервных (дополнительных) средств с целью обеспечения работоспособности объекта. Резервирование по виду используемых средств может быть: структурным, функциональным, временным,информационным.
Структурное резервирование - резервирование с применением резервных элементов структуры объекта. Элементами структуры могут быть детали, сборочные единицы и даже крупные комплексы.
Рассмотрим следующие способы структурного резервирования:
1.Общее резервирование (резервируется весь объект в целом, рис.2.1).

Рис.2.1.
2.Раздельное резервирование (резервируются отдельные элементы, рис.2.2)

Рис.2.2
3.Постоянное резервирование (резервные элементы участвуют в функционировании объекта наравне с основными, рис.2.3).

Рис.2.3.
4. Динамическое резервирование (резервирование с перестроением структуры объекта при возникновении отказа его элементов, рис.2.4., где основной тракт передачи данных обозначен сплошной линией, возможные тракты – штриховой линией).
|
|
|
Рис.2.4.
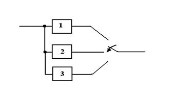
5. Резервирование замещением (резервирование, при котором функции основного элемента передаются резервному элементу, только тогда, когда откажет основной элемент (рис.2.5, элемент 1- основной, 2,3-резервные).

Рис.2.5
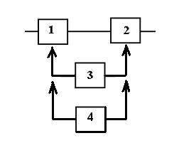
6. Скользящее резервирование (резервирование, при котором группа основных элементов резервируется одним или несколькими резервными элементами, каждый может заменить любой отказавший основной элемент; рис.2.6).

Рис.2.6.
При расчетах надежности предполагается, что резервные элементы всегда готовы к немедленному подключению в работу, как только поступает команда на их подключение.
Элемент, находящийся в резерве, может быть в различных состояниях по степени нагруженности:
а) нагруженный – резервный элемент находится в том же режиме, что и основной;
б) облегченный – резервный элемент находится в менее нагруженном режиме, чем основной;
в) ненагруженный – резервный элемент не несет нагрузки.






