При решении транспортных задач удобно пользоваться табличной формой записи. В этом случае ограничения (3.2) и (3.2а) записывают в виде транспортной матрицы размерностью пт. Для рассмотренного выше примера транспортная матрица представлена в виде табл. 3.1.

Справа указаны заданные мощности источников А1 и А2, снизу - заданные мощности потребителей В1, В2, В3 справа внизу-значение целевой функции Z. Непосредственно в клетках транспортной матрицы записаны подлежащие определению искомые переменные хij и заданные значения удельных стоимостей передачи мощности z ij.
Каждая i-я строка матрицы соответствует уравнению баланса мощности i-го источника питания, каждый j-й столбец - уравнению баланса мощности j-го потребителя.
Исходное допустимое решение может быть получено по алгоритму минимальной удельной стоимости:
1. В транспортной матрице выбирается клетка с минимальным значением z ij. Если имеется несколько таких клеток, то выбирается любая из них.
2. В выбранную клетку в качестве базисной переменной заносится наименьшая из двух величин Ai или Bj, т.е. хij=miп(АiВj).
|
|
|
При этом выполняется баланс мощности по строке i или столбцу j, в которые входит переменная хij.
3.В остальные клетки строки i или столбца j, для которых выполнен баланс мощности, заносятся нули, соответствующие свободным переменным. Большая из двух величин Ai и Bj условно заменяется разностью этих двух величин.
4.Из оставшихся незаполненных клеток транспортной матрицы вновь выбирается клетка с минимальным значением z ij. Далее пункты 2 и 3 повторяются до полного заполнения всех клеток транспортной матрицы.
Следует напомнить, что общее количество переменных составляет пт. Количество отличных от нуля базисных переменных составляет (n+m-1). Количество равных нулю свободных переменных составляет (пт-(п+т-1)).
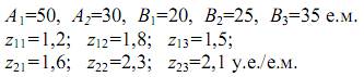
Пример 4. Найти допустимое решение для задачи примера 3 при следующих исходных данных:

Решение. Изобразим транспортную матрицу размерностью 2x3 (табл. 3.2) и будем заполнять ее в соответствии с алгоритмом минимальной удельной стоимости.
В транспортной матрице выбирается клетка с минимальным значением z ij. Это клетка с переменной х11 и удельной стоимостью z 11=1,2.
В эту клетку в качестве базисной переменной заносим меньшее из двух значений мощностей х11 =min(А1=50, В1=20)=20. Баланс для 1 -го столбца (1 -го потребителя) выполнен (20=20). В остальные клетки этого столбца заносим нули (свободная переменная х21=0).
Поскольку от источника А1 отобрано 20 е.м., отходящих к потребителю В1, мощность этого источника условно заменяется величиной 50-20=30.
Из оставшихся незаполненных клеток транспортной матрицы выбирается клетка с наименьшей удельной стоимостью z13=l,5. В качестве базисной переменной в эту клетку заносится меньшее из двух значений мощностей х13=min(A1=30, B3=35)=30. Баланс для 1-й строки (1-го источника) выполнен. В остальные клетки этой строки заносим нули (свободная переменная x12=0).
|
|
|
Поскольку потребителю B3 поставлено 30 е.м., мощность этого потребителя условно заменяется величиной 35-30=5.
Из оставшихся незаполненных клеток транспортной матрицы выбираем клетку с наименьшей удельной стоимостью z23=2,1. В качестве базисной переменной в эту клетку заносим меньшее из двух значений мощностей х23 = min(A2=30, B3=5)=5. Баланс для 3-го столбца (3-го потребителя) выполнен.
Поскольку от источника А2 отобрано 5 е.м., отходящих к потребителю В3, мощность этого источника условно заменяется величиной 30-5=25.
Последнее значение заносится в оставшуюся незаполненную клетку транспортной матрицы в качестве базисной переменной х22=25.
Итак, вся транспортная матрица заполнена. Балансы мощности по строкам (по узлам источников) и по столбцам (по узлам потребителей) выполняются. Все переменные неотрицательны. Полученное исходное решение является допустимым. В этом решении
свободные переменные: х12=0, х21=0;
базисные переменные: х11=20, х13=30, х22=25, х23=5 е.м.;
значение целевой функции

показано справа внизу табл. 3.2.
Схема электрической сети, отвечающая полученному допустимому решению, показана на рис. 3.2.







