Рассмотренный выше распределительный метод получения оптимального решения достаточно трудоемок. В каждом допустимом решении для каждой свободной переменной необходимо строить циклы и определять изменение целевой функции. Ниже рассмотрена модификация распределительного метода, получившая название метода потенциалов. Этот метод рассмотрим как дальнейшее продолжение примера 4.
В соответствии с методом потенциалов каждой строке и каждому столбцу транспортной матрицы присваивается свой потенциал: строкам - потенциалы Vi, (i =1, 2,... п), столбцам - потенциалы Uj (j=1, 2,... т), как показано в табл. 3.5 для рассматриваемого примера.

Эти потенциалы таковы, что для каждой базисной переменной сумма потенциалов равна удельной стоимости

Вернемся к соотношению (3.4), по которому вычислено изменение целевой функции при увеличении на единицу свободной переменной x21, и заменим в этом соотношении потенциалами удельные стоимости базисных переменных

Из последнего соотношения видно, что при условии
|
|
|

перевод свободной переменной х21 в базис уменьшит целевую функцию Z.
Аналогично в соотношении (3.5), по которому вычислено изменение целевой функции при увеличении на единицу свободной переменной х12, заменим потенциалами удельные стоимости базисных переменных

Из последнего соотношения видно, что при условии

перевод свободной переменной x12 в базис увеличивает целевую функцию Z.
В общем случае, при условии

перевод свободной переменной хij в базис уменьшает целевую функцию Z, а при условии

перевод свободной переменной хij в базис увеличивает целевую функцию Z.
Количество неизвестных потенциалов составляет (n+m), a количество базисных переменных (п+т-1). В системе уравнений (3.6) число неизвестных потенциалов на единицу больше числа уравнений. Следовательно, система (3.6) является неопределенной и имеет бесконечное количество решений.
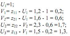
Для получения одного из решений системы (3.6) произвольно зададимся величиной одного из потенциалов, например U1=1. После этого все остальные потенциалы однозначно определятся по уравнениям (3.6).
В рассматриваемом случае имеем (табл. 3.5)

роверим условия (3.7) и (3.8) для свободных переменных в транспортной матрице табл. 3.5. Для свободной переменной х23. Проверим условия (3.7) и (3.8) для свободных переменных в транспортной матрице табл. 3.5. Для свободной переменной х23

Следовательно, свободную переменную х23 переводить в базис не следует, поскольку этот перевод приведет к увеличению целевой функции Z.
Для свободной переменной х12

Следовательно, свободную переменную х12 следует перевести в базис, поскольку этот перевод приведет к уменьшению целевой функции Z.
|
|
|
Для свободной переменной x12 строим цикл пересчета (табл. 3.6) и из отрицательных вершин цикла выбираем меньшую базисную переменную х11=15. Эта переменная перейдет в разряд свободных х11=0, а переменная х12 станет базисной х12 =15. В соответствии со знаками в вершинах цикла базисная переменная х 21 увеличится на 15 единиц и станет равной x21=5+15=20, а базисная переменная х22 уменьшится на 15 единиц и станет равной х22=25-15=10.

Новому допустимому значению соответствует транспортная матрица табл. 3.7.

В этом решении свободные переменные х11=0, х13=0; базисные переменные х12=15, х13=35, х21=20, x22=10 е.м. Значение целевой функции

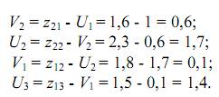
Проверим это решение на оптимальность. Произвольно зададимся значением одного из потенциалов U1=1. В соответствии с уравнениями (3.6) остальные потенциалы будут равны

Для свободных переменных х11 и х 23 сумму потенциалов сопоставим с удельной стоимостью


В соответствии с условием (3.8) перевод любой из этих переменных в базис приведет к увеличению целевой функции Z. Следовательно, полученное решение является оптимальным. Схема электрической сети, отвечающая оптимальному решению, показана на рис. 3.4.
Алгоритм решения транспортной задачи.
1. В соответствии с исходными данными составляется транспортная матрица размерностью пт, где п - количество источников питания, т - количество потребителей.
2. Находится допустимое решение, например методом наименьшей удельной стоимости.
3. Для допустимого решения каждой i -й строке и каждому j -му столбцу транспортной матрицы присваивается значение потенциала Vi и Uj (i =1,2,...n; j=1,2,.. .т). Для каждой базисной переменной сумма потенциалов равна удельной стоимости Vi+Uj=zij.
4. Произвольно задавшись значением одного из потенциалов, по
уравнениям Vi+Uj=zij, справедливым для базисных переменных, вычисляются значения остальных потенциалов.
5. Для всех свободных переменных проверяется соотношение суммы потенциалов с удельной стоимостью. Если для всех свободных переменных Vi+Uj < zij, то полученное решение является оптимальным.
6. Если имеются свободные переменные, для которых Vi+Uj > zij, то выбирается любая из этих свободных переменных и переводится в базис. Для этого строится цикл пересчета (замкнутая ломаная линия), начальная вершина которого лежит в клетке выбранной свободной переменной. Остальные вершины цикла лежат в клетках, соответствующих базисным переменным. Начальной вершине цикла присваивается знак "+", соответствующий увеличению переменной. Далее знаки вершин цикла чередуются. Знаки "+" соответствуют увеличению базисных переменных, знаки "-" - их уменьшению.
7. Из отрицательных вершин цикла выбирается вершина с наименьшим значением базисной переменной и на эту величину изменяются все переменные, лежащие в вершинах цикла. В положительных вершинах переменные увеличиваются, в отрицательных - уменьшаются. При этом выбранная свободная переменная становится базисной, а наименьшая по величине базисная переменная в отрицательной вершине цикла становится свободной (равной нулю).
8. Для вновь полученного решения вычислительная процедура повторяется, начиная с пункта 3.






