При проектировании систем электроснабжения часто сталкиваются с задачей ограничения пропускной способности линии. В частности, ограничение передаваемой мощности по существующей линии обусловлено допустимым нагревом ее проводов.
Пусть для линии xij между источником i и потребителем j передаваемая мощность ограничена величиной S (xij<S). Ограничение пропускной способности линии учитывается в транспортной задаче следующим образом.
1. Столбец j транспортной матрицы, отвечающий потребителю с мощностью Bj, разбивается на два столбца или на два условных потребителя с мощностями Bj'=Bj-S и B''=S.
2. Для переменной между источником i и потребителем Bj' осуществляется блокировка передачи мощности, т.е. для этой переменной принимается очень большой показатель удельной стоимости.
Далее решение транспортной задачи ничем не отличается от решения задачи без ограничения пропускной способности линий. Следует только отметить, что для всех допустимых решений, в том числе и для оптимального решения, мощность, передаваемая от источника i к потребителю Bj, не превысит величины S.
Пример 5. Решить задачу рассмотренного выше примера 4 для случая, когда мощность, передаваемая по линии х13, ограничена величиной 20 е.м. (x13<20).
Решение. В исходной транспортной матрице (табл. 3.2) третий столбец разбиваем на два столбца с условными потребителями B3'=35-20=15 и B3"=20 е.м. Удельную стоимость передачи мощности от источника А 1к условному потребителю В 3 ' примем равной 100 у.е./е.м. Остальные удельные стоимости такие же, как в табл. 3.2.
Исходное допустимое решение получено методом наименьшей удельной стоимости и представлено в табл. 3.8.
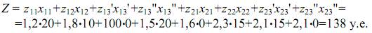
В этом решении свободные переменные х13'=х21= х23"=0; базисные переменные х11=20, х12=10, х13"=20, x22=15, х23"=15 е.м. Значение целевой функции


Далее используем метод потенциалов. Для принятого произвольно значения одного из потенциалов (U1=1) величины остальных потенциалов определены по выражению Vi+Uj=zij, справедливому для базисных переменных (табл. 3.8).
Поскольку для свободной переменной x21

переводим эту переменную в базис. Цикл пересчета переменных отмечен в табл. 3.8. знаками "+" и "-". В разряд свободных перейдет базисная переменная x22. Новое допустимое решение показано в табл. 3.9.


Это решение является оптимальным, поскольку для всех свободных переменных выполняется условие (3.8) при котором перевод любой свободной переменной в базис приведет к увеличению целевой функции Z. Схема, отвечающая оптимальному решению, приведена на рис. 3.5.
Следует отметить, что при решении транспортных задач с ограничениями пропускной способности линий в схеме электрической сети возможно появление замкнутых контуров, а количество базисных переменных больше, чем в транспортной задаче без указанных ограничений.






