Многие изоляционные структуры состоят из ряда слоев, имеющих различные диэлектрические характеристики. Их модель может быть представлена в виде двух слоев с разными удельными сопротивлениями
ν и диэлектрическими проницаемостями
(рис..3 а). Примером может являться бумажная изоляция, пропитанная жидким диэлектриком. Увлажнение изоляции может привести к изменению удельной проводимости и диэлектрической проницаемости увлажненного слоя. Схема замещения двухслойного диэлектрика представлена на рис. 3 б,в.

Рис.3
Двухслойный диэлектрик (а) и схемы замещения (б, в)
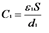
Для этой схемы сопротивления и емкости каждого слоя изоляции соответственно равны:
;
;
;
,
где d1 и d2 - толщины слоев, а S – площадь электродов. При длительном приложении постоянного напряжения U и
ν1
1
ν2
2 на границе раздела двух слоев образуется абсорбционный заряд
,
где U1 и U2 - напряжение на слоях.
Эквивалентная схема рис. 3 б может быть преобразована в схему рис. 3.в., для которой
и
,
где R – сопротивление изоляции, Сг - геометрическая емкость изоляции;
- дополнительное увеличение емкости, связанное с накоплением абсорбционного заряда
с постоянной времени
.
Из условия равенства полных сопротивлений схем рис. 3 б и в, имеем:
; 
.
Если распределение напряжения по слоям изоляции при переменном (обратно пропорционально емкостям) и постоянном (пропорционально сопротивлениям) напряжении совпадает, т. е.
ν1
1=
ν2
2 или
, то абсорбционный заряд
равен нулю. При этом
и
. Если изоляция неоднородна, т. е.
ν1
1
ν2
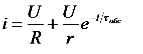
2 то при приложении постоянного напряжения ток, проходящий через изоляцию без учета кратковременного импульса тока, связанного с зарядом геометрической емкости С г, определяется выражением:
,
где
.
В этом выражении U/R=iуст –установившийся (сквозной) ток утечки через изоляцию и (U/r)exp(-t/
абс) – ток абсорбции.
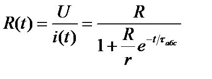
Сопротивление изоляции
.
Для оценки состояния изоляции производится измерение сопротивления изоляции через 15 и через 60 с (R15 и R60) после включения постоянного напряжения. По отношению сопротивлений, измеренных через 15 и 60 с (или 1 и 10 мин) после подачи напряжения, можно судить о состоянии изоляции. Критерий R60/ R15 является показателем степени увлажнения изоляции при температурах ниже 35…40о С. С ростом температуры ток сквозной проводимости сильно возрастает и соотношения R60/ R15 и для сухой и для влажной изоляции приближаются к единице.
В практике эксплуатации измерения сопротивления изоляции производятся мегомметрами на напряжение 0,5…2,5 кВ. Опытным путем установлено, что при допустимом увлажнении изоляции (R60/ R15)>1,3.
Оценка состояния изоляции может производиться также по зависимости емкости от частоты переменного напряжения.
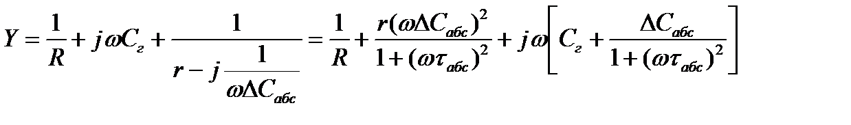
На основании схемы рис. 3 в, полная проводимость изоляции при переменном напряжении с частотой f =
/2
:
. соответственно имеем:

Тогда следует, что с ростом степени увлажнения и ростом
возрастает изменение емкости С(
) при изменении частоты f.
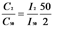
Обычно для оценки состояния изоляции производится измерение емкости при двух частотах: f1 = 2Гц и f2 = 50Гц при неизменной температуре, затем определяется значение С2 / С50, которое и служит показателем качества изоляции. На основании опыта установлено, что изоляция недопустима увлажнена, если С2/С50>1,3.
Для измерения емкостей используется прибор, принципиальная схема которого в упрощенном виде показана на рис.4.

Рис. 4.
Схема измерения емкости изоляции при разных частотах.
Переключатель SA периодически подключает испытуемую изоляцию к источнику постоянного напряжения, и Сх заряжается, а затем- к цепи с гальванометром РА, и Сх разряжается. Измерения проводятся при частотах переключения 2 и 50Гц, поэтому
.






