В основу метода положено представление о том, что ток сквозь изоляцию имеет две составляющие: активную и емкостную. При низких напряжениях, когда число свободных зарядов в изоляции мало, ток сквозь изоляцию представляет собою ток сквозь емкость, т.е. через изоляцию протекает практически ic (рис. 5.а). При более высоких напряжениях начинается разрушение нейтральных частиц диэлектрика, повышается число свободных зарядов, в связи с чем растет активная составляющая тока (рис. 5.б). При пробое сквозь изоляцию протекает только активный ток (Рис. 5.в).
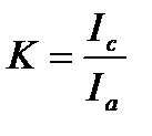
Наблюдая кривую тока на экране осциллографа (емкостную и активную) можно получить зависимость I = f(U), (рис. 6). Сняв такие зависимости вплоть до напряжений, при которых пробивается изоляция, можно получить значение коэффициента К:

Сопоставляя зависимость К = f(U) между собою, определяется К, при которых пробивается изоляция у большинства испытуемых образцов изоляции, а затем используется для определения пробивного напряжения U пр. - без пробоя изоляции.
Такое прогнозирование возможно с применением синусоидального, выпрямленного однополупериодного и импульсного напряжений. Характерные осциллограммы приведены на рис. 5.
u
| u (t) |
| t |
| u |
| i (t) |
| а) |
| u (t) |
| t |
| i (t) |
| б) |
u
| u (t) |
| t |
| i (t) |
| в) |
| t |
| i (t) |
Рис. 5.
U
I
Рис. 6.
| Зависимость сквозного тока от напряжения. |
Контроль тангенса угла диэлектрических потерь (tg δ)
Старение диэлектрика сопровождается ростом диэлектрических потерь, которое может обнаружено путем измерения tgδ. При профилактических испытаниях качество изоляции оценивается по абсолютной величине tgδ, измеряемой при напряжении не выше 10 кВ независимо от номинального напряжения оборудования. Для некоторых видов оборудования, например, для электрических машин, определяют зависимость tgδ от напряжения в пределах 0,5….1,5 Uном. Рост tgδ с увеличением напряжения свидетельствует о появлении частичных разрядов в изоляции.
Для измерения tgδ в условиях эксплуатации используются малогабаритные мосты МД-16 и Р-595. Принципиальная схема наиболее распространенного моста, в котором один из электродов обследуемого объекта Сх заземлен, приведена на рис. 7. Эту схему иногда называют «перевернутой».
Она содержит эталонный конденсатор CN, без индуктивный переменный резистор R3, постоянный резистор R4, переменный конденсатор C4, трансформатор на 10 кВ Т и защитные разрядники FV, предназначенные для защиты измерительных цепей от напряжений в случае пробоя изоляции. Равновесие моста определяется по вибрационному гальванометру PA. Регулирование R4 и C4 осуществляется при помощи изолирующих ручек. Измерительная часть моста защищена от наводок экраном, находящимся под высоким напряжением. Поэтому он размещается внутри наружного заземленного экрана. Экраны друг от друга изолированы на полное напряжение трансформатора Т.
Этот метод базируется на явлении электрической поляризации. Процесс поляризации в реальных диэлектриках сопровождается рассеянием энергии W, - т.е. диэлектрическими потерями, которые характеризуются величиной tg δ.
Чем больше tgδ, тем менее совершенен диэлектрик как электроизоляционный материал.
По значению tgδ можно установить наличие в изоляции различных по характеру дефектов. Однако дефекты одного и того же типа, но разных размеров, неодинаково влияют на результаты измерений и поэтому обнаруживаются с разной чувствительностью. Объясняется это тем, что tg δ испытуемой изоляции из нескольких различных материалов представляет собою средневзвешенную частотную величину.
Условия равновесия моста обеспечиваются при:
YxY4=Y0Y3; φ x+ φ 4= φ 0 + φ3;
tg δx = tg ψ4 = k.C4.

Рис. 7.
Принципиальная схема измерения тангенса угла диэлектрических потерь в изоляции.
Сх – испытуемый объект; C0 – эталонный конденсатор; R3, R4, C4 –элементы измерительной части моста; Г – гальванометр.
Если изоляцию представить в виде последовательного соединенной емкости изоляции Cx и сопротивления Rх, в котором рассеивается энергия потерь, то в случае равновесия моста
.
После преобразования, имеем:
,
.
В последовательной схеме замещения tgδ может быть представлен отношением активной части сопротивления изоляции к реактивной:
.
Подставим Rx и Cx имеем:
.
Для удобства сопротивление резистора R4 принимают равным
Ом. Тогда для частоты 50 Гц
6 ,
т.е. значение tgδ численно равно емкости C4 в мкФ.
При измерении tgδ на действующих установках или вблизи оборудования, находящегося под напряжением, возникают помехи. Для уменьшения ошибки, вызванной помехами, проводят некоторое измерение tgδ при измененной на 180º фазе питающего напряжения, и tgδ определяют как средневзвешенное значение:
,
где Cx1, Cx2, tgδ1 и tgδ2 - значения первого и второго измерений.
Шкала прибора градуируется непосредственно в tgδ. Практическая реализация метода измерения tgδ заключается в следующем: испытуемый объект включается в одно из плеч моста. К мосту прикладывается напряжение - при профилактических испытаниях измерения производятся при U
10 кВ независимо от номинального напряжения оборудования. Далее уравновешивается мост и производится отсчет tgδ по шкале прибора.
Достоинства метода:
1 - метод прост, так как позволяет осуществить непосредственное измерение tg при несложной схеме испытательной установки.
2 - существует некоторая корреляционная связь между Uпр и tgδ.
Недостатки:
1 – величина tg δ зависит от протяженности диэлектрика и от влажности;
2 - стабилизация tgδ изоляции наступает через несколько сотен часов эксплуатации при номинальном напряжении Uн , влажности и температуре, а дальше длительное время tgδ остается постоянным, поэтому измерение его позволяет выявить некоторые дефекты только в комплексе с другими методами.
Метод частичных разрядов. Обнаружение частичных разрядов (ч.р.) основано на регистрации их внешних проявлений. Схема установки для измерения частичных разрядов электрическим способом приведена на рис. 8.

Рис. 8.
Принципиальная схема для измерения характеристик частичных разрядов.
Она содержит высоковольтный трансформатор Т, испытуемый образец Cx, конденсатор связи C0, измерительный шунт Z, заградительный фильтр низких частот Ф, усилитель-дискриминатор У, осциллограф N и счетчик импульсов СТ. В этой схеме регистрируется скачкообразное снижение напряжения на испытуемой изоляции при каждом ч. р. При этом на измерительном шунте возникают импульсы напряжения, амплитуда которых в начальный момент времени
,
где
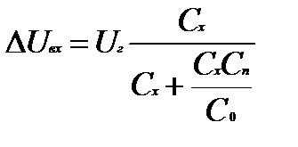
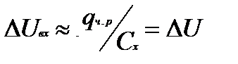
- кажущийся заряд, а Cn - собственная емкость входных цепей измерительной части установки. Необходимо принимать меры, чтобы Cn << Cx, и Cn << C0; тогда
.
При использовании в качестве измерительного шунта резистора R на нем возникают апериодические импульсы с широким спектром частот. Для их усиления используются широкие усилители с полосами пропускания от 10 кГц до 1…2 МГц. Длительность фронта этих импульсов составляет примерно 10-7-10-8 с, они очень короткие и поэтому сигналы от следующих друг за другом частичные разряды (ЧР) не накладываются один на другой, их можно четко различить и подсчитать с помощью счетчика импульсов СТ.
При оценке интенсивности ч. р. по среднему току измеряемые импульсы при помощи усилителя-дискриминатора разделяются на соответствующие уровни и производится подсчет импульсов каждого уровня. Средний ток ч. р. равен
,
где
,
- номер уровня, а
- число импульсов в
-м уровне за время Т.
В коэффициент пропорциональности между
вх и
ч.р . входит собственная емкость входных измерительных цепей Cn, которая не поддается строгой оценке. Кроме того на отношение
оказывают дополнительное влияние собственная емкость трансформатора, индуктивность проводов высоковольтного контура и т. д. Поэтому для определения строгого соответствия между
вх и
ч.р . необходимо провести соответствующую градуировку для каждого уровня. Напряжение генератора uг в начальный момент времени распределяется обратно пропорционально емкостям Сг, Сх, С0 и Cn. При этом амплитуда напряжения на входе измерительного устройства
.
Емкость разделительного конденсатора должна быть во много раз меньше Сх и С0.
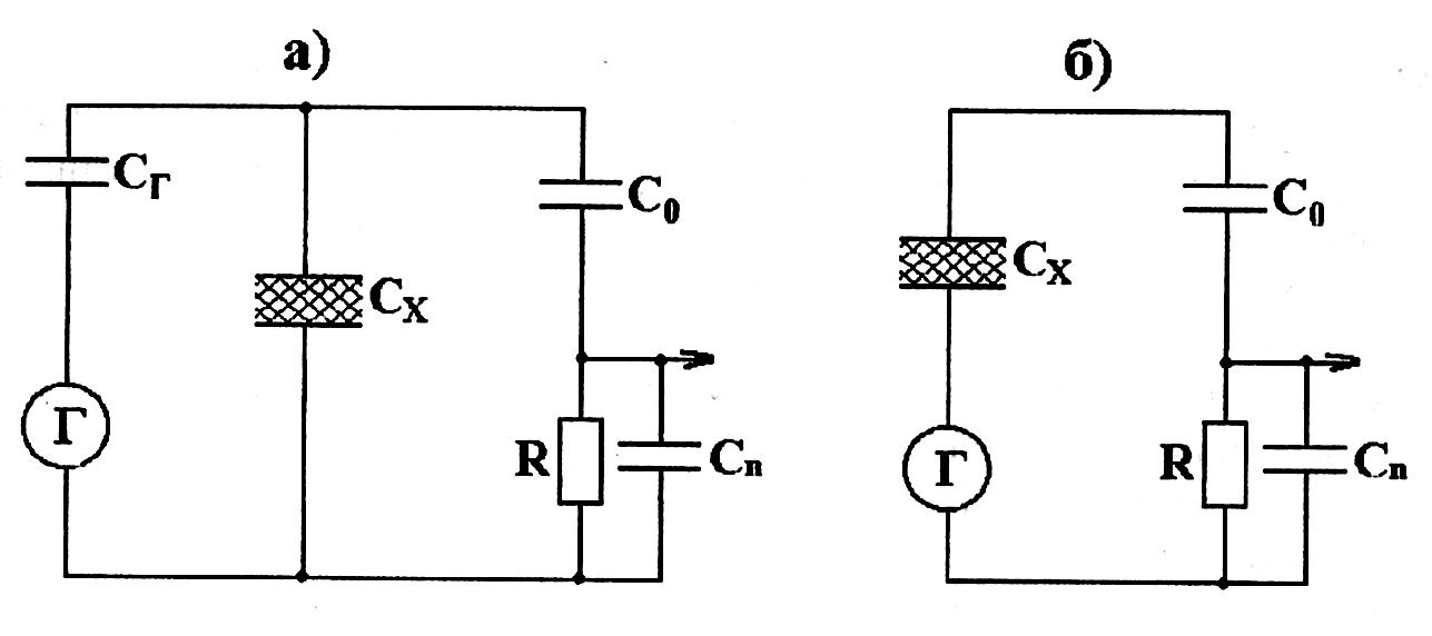
В отдельных случаях пользуются простой схемой градуировки рис. 9 б. Однако при этом необходимо, чтобы внутреннее сопротивление генератора Г было достаточно малым.
Для этой схемы в начальный момент времени


Рис. 9.
Схема градуировки ИЧР с разделительной емкостью (а) и с включением Г с емкостью 
Учитывая, что Сг<<С0, Сг <<Сх, а qч.р.= Ux Cx для схемы рис. 9. а, получим:
.
Для схемы рис. 9 б. получим:
.
Таким образом градуировочный заряд qг для схемы рис. 9. а, qг=UгCг,, а для схемы рис. 9. б, - qг=UгCх.
Длительность импульса генератора прямоугольных импульсов должна быть выбрана из условия
Тг>>RС0,
где
и также должна быть существенно больше, чем период верхней частоты полосы пропускания усилителя.
Минимальная величина регистрируемых кажущихся зарядов ограничивается уровнем внешних радиопомех и собственных шумов усилителя.
Установки с применением широкополосных усилителей используются в стационарных лабораториях. В условиях эксплуатации использование этих установок крайне затруднено из-за очень высокого уровня помех от короны на проводах и арматуре изоляторов.
При измерении в качестве измерительного шунта индуктивности можно использовать узкополосные усилители. В этих установках уровень помех существенно ниже, а чувствительность выше. Однако сигналы от отдельных ЧР получаются достаточно длительными и, накладываясь друг на друга, делают затруднительным измерение числа импульсов в единицу времени. Поэтому такие установки используют при высоком уровне внешних шумов и только для обнаружения или измерения начального напряжения ЧР.






