Эластичность спроса по доходу показывает на сколько процентов изменится величина спроса при изменении дохода на 1 %
Она зависит от следующих факторов:
ü Значимость товара для бюджета семьи;
ü Является ли товар предметом роскоши или предметом
необходимости;
ü Консерватизм во вкусах.
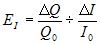
Коэффициент эластичности спроса по доходам характеризует изменение спроса на тот или иной товар в зависимости от изменения доходов потребителей и рассчитывается по формуле:

где ΔQ – изменение объема спроса, Q0 - первоначальный объем спроса, ΔI - изменение доходов населения, I0 - первоначальное значение доходов населения.
Если увеличение дохода приводит к уменьшению спроса на товар, то показатель эластичности по доходу является отрицательным (E<0). Скорее всего, данный товар низкокачественный.
Товар считается нормальным, если эластичность по доходу положительна (E>0).
Если 0<E<1, то спрос на товар растет медленнее, чем доход. Таким показателем эластичности характеризуют товары первой необходимости.
Спрос на товар растёт быстрее дохода в том случае, если E>1. Свойственно предметам роскоши.
Пример. На основании того, что при росте доходов населения за рассматриваемый период с 20 до 50 ден. ед. спрос на бытовую технику увеличился с 5 до 14 ден. ед., определите коэффициент эластичности по доходу.
По вышеприведенной формуле коэффициент эластичности спроса по доходам равен:

Следовательно, бытовая техника относится к товарам высшей категории (значение коэффициента больше 0), и спрос на нее растет быстрее, чем растет доход (спрос эластичен по доходу, о чем говорит значение коэффициента больше 1).