Точечная эластичность - эластичность, измеренная в одной точке кривой спроса или предложения. Точечная эластичность может быть определена, если провести касательную кривой спроса. Значение точечной эластичности обратно пропорционально тангенсу угла наклона касательной.
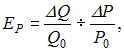
Коэффициент точечной эластичности спроса по цене рассчитывается по формуле:
| или | |
где ΔQ – изменение объема спроса на товар, Q0 – первоначальный объем спроса, ΔP – изменение цены товара, Р0 – первоначальное значение цены.
Пример. Цена на макаронные изделия понизилась с 37 до 33 ден. ед. за 1 кг, спрос на них увеличивается с 250 до 253 тонн. Определите значение коэффициента точечной эластичности спроса по цене.
Используя формулу, искомое значение коэффициента эластичности будет равно:

Но, поскольку значение данного коэффициента берется по модулю, то он будет равен 0,111, или приблизительно равен 0,11.
Коэффициент эластичности спроса по цене, принимающий значение меньше единицы, говорит о том, что спрос на данный товар неэластичен, то есть растет медленнее, чем снижается цена.