Существует множество других причин, оказывающих влияние на спрос потребителя. Это могут быть какие-то личные мотивы потребителя, погодные условия, политические события и т.д. Перечислить и рассмотреть влияние всех возможных факторов изменения спроса невозможно, но попробуем обобщить все, что мы узнали о факторах спроса.
Эластичность спроса: экономическое содержание, показатели измерения
Эластичность спроса - степень реакции покупателя на изменение цен, уровня доходов или других факторов. Рассчитывается через коэффициент эластичности. Коэффициент эластичности спроса показывает, на сколько процентов изменится объем спроса при увеличении цены данного товара на один процент. В зависимости от степени эластичности выделяют следующие типы ценовой эластичности спроса (таблица 3).
Таблица 3 - Типы ценовой эластичности спроса
| Спрос | Графическое изображение | |
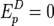
| Абсолютно неэластичный спрос (редкий случай) Объем спроса не меняется при изменении цены (товары первой необходимости) | |
| Неэластичный спрос Когда объем спроса изменяется на меньший процент, чем цена (товары повседневного спроса, товар не имеет замены). | |
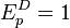
| Единичная эластичность спроса Изменение цены вызывает абсолютно пропорциональное изменение объема спроса. | |
| Эластичный спрос Объем спроса изменяется на больший процент, чем цена (товары, не играющие важной роли для потребителя, товары, имеющие замену). | |
| Абсолютно эластичный спрос (редкий случай) Объем спроса не ограничен при падении цены ниже определенного уровня. | |
Различают эластичность спроса по цене, эластичность спроса по доходу, а также перекрестную эластичность по цене 2х товаров.
Эластичность спроса по цене показывает на сколько процентов изменится величина спроса при изменении цены на 1 %. На эластичность спроса по цене влияют следующие факторы:
ü Наличие товаров конкурентов или товаров заменителей (чем их больше, тем больше возможность найти замену подорожавшему товару, то есть выше эластичность);
ü Незаметное для покупателя изменение уровня цен;
ü Консерватизм покупателей во вкусах;
ü Фактор времени (чем больше у потребителя времени на выбор товара и обдумывание - тем выше эластичность);
ü Удельный вес товара в расходах потребителя (чем больше доля цены товара в расходах потребителя, тем выше эластичность).
Эластичность спроса по цене рассчитывается по формуле:
,
Где
- изменение объема спроса на товар, выраженное в процентах,
изменение цены товара, выраженное в процентах.
Пример. Определите коэффициент эластичности спроса по цене, если объем спроса на товар вырос на 15%, цена товара выросла на 20%.
EР = 15% / 20% = 0,75, следовательно спрос неэластичен






