Производная по времени от импульса механической системы равна геометрической сумме внешних сил, действующих на систему.
Здесь учли, что
— импульс системы, а геометрическая сумма внутренних сил механической системы по третьему закону Ньютона равна нулю.
В случае замкнутой системы

Внешние силы отсутствуют (или геометрическая сумма всех внешних сил равна нулю).
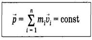
Закон сохранения импульса _
Импульс замкнутой системы сохраняется, т. е. не изменяется с течением времени.
Этот закон — фундаментальный закон природы (он универсален).
Закон сохранения импульса — следствие однородности пространства _
Однородность пространства заключается в том, что при параллельном переносе в пространстве замкнутой системы тел как целого ее физические свойства и законы движения не изменяются, иными словами, не зависят от выбора положения начала координат инерциальной системы отсчета.
♦ Импульс сохраняется и для незамкнутой системы, если геометрическая сумма внешних сил равна нулю.
8. ЗАКОН ДВИЖЕНИЯ ЦЕНТРА МАСС
Центр масс системы материальных точек (тела ) _
Воображаемая точка С, положение которой характеризует распределение массы этой системы (тела).
Для определения положения центра масс достаточно поочередно подвесить тело за две различные точки на его поверхности и провести через точки подвеса вертикали, пересечение которых и даст положение центра масс (центр масс может располагаться вне тела).
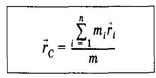
Радиус-вектор центра масс _
[mi и
— соответственно масса и радиус-вектор i-й материальной точки; п — число материальных точек в системе;
— масса системы]
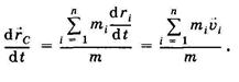
Скорость центра масс ___

Учли, что
=
Импульс системы материальных точек
Равен произведению массы системы на скорость ее центра масс Pi = mi v i; p = Σ p t.
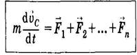
Закон движения центра масс
Центр масс системы движется как материальная точка, в которой сосредоточена масса всей системы и на которую действует сила, равная геометрической сумме всех внешних сил, приложенных к системе






