Кинетическая энергия_
Кинетическая энергия механической системы
Энергия механического движения этой системы.
Связь работы и кинетической энергии ___
dT = dA
Приращение кинетической энергии материальной точки (тела) на элементарном перемещении равно элементарной работе на том же перемещении.
Сила
, действуя на покоящееся тело и вызывая его движение, совершает работу, а энергия движущегося тела возрастает на величину затраченной работы. Работа dA силы
на пути, который тело прошло за время возрастания скорости от 0 до
, идет на увеличение кинетической энергии dT тела. Можно записать:

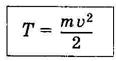
Кинетическая энергия тела массой т, движущегося со скоростью V.
Определяется работой, которую надо совершить, чтобы сообщить телу данную скорость.






