от скорости автомобиля
Наиболее интегральным показателем эксплуатационных факторов является средняя скорость автомобиля. При малой средней скорости V (или dV), соответствующей высокой помехонасыщенности и интенсивности движения, используются в основном понижающие передачи коробки передач с большим передаточным числом. При этом работа двигателя характеризуется повышенными скоростными и пониженным нагрузочным режимами, а также высокими значениями показателей переменности (An, Ap, ¦n, ¦p, nк).
При повышении средней скорости снижается передаточное число коробки передач, что ведет к снижению скоростного режима (
) и незначительному повышению нагрузочного режима, уменьшению показателей переменности режимов. При некоторой средней скорости, выше которой используются только прямая и повышающая передачи, скоростной режим работы двигателя стабилизируется, а с дальнейшим ростом V возрастает, достигая насыщения при высоких скоростях, обусловленных возможностями двигателя.
|
|
|
После скорости, при которой используются только прямая и повышающая передачи, нагрузочный режим двигателя (
) возрастает уже интенсивнее, чем при использовании понижающих передач. Это обусловлено тем, что переключение передач обычно производится при определенной нагрузке на двигатель, что обусловлено динамической характеристикой автомобиля. При высоких скоростях режим стабилизируется при значениях, обусловленных мощностью двигателя. При этом показатели переменности режимов работы агрегатов и систем тоже стабилизируются.
Принципиально тенденции изменения показателей режимов работы агрегатов с ростом средней скорости автомобиля показаны на рис. 3.50. Следует отметить, что при малых значениях V показатели изменяются незначительно, однако эти значения V не являются характерными. Поэтому для определения зависимостей показателей режимов от средней скорости следует рассматривать изменение V от значения Vmin. Например, для автомобилей КамАЗ Vmin =17 км/ч. Эти кривые носят характер тенденций, так как показатели режимов при определенной средней скорости характеризуются распределением, обусловленнымвлиянием других факторов.

Рис.3.50. Принципиальные зависимости показателей режимов работы агрегатов от скорости автомобиля
Переменность режимов работы агрегатов обусловлена переключением передач, а число переключений на 1 км максимально при Vmin. При этом же наблюдается и максимум среднего передаточного числа коробки передач ik. Диапазон используемых на каждой передаче скоростей возрастает с повышениемих порядкового номера, что следует из типичной формы динамической характеристики автомобиля (рис.3.51). Следовательно, с ростом V повышается время использования передач в порядке возрастания их номеров, что ведет к снижению среднего передаточного числа коробки передач ik. Огибающая динамической характеристики автомобиля обычно имеет гиперболический характер, что справедливо и для зависимости ik от V. Но поскольку использование первой передачи характерно при V < Vmin, то в рассматриваемом диапазоне скорости от Vmin до V эту зависимость целесообразно описать экспонентой в форме
|
|
|
| (3.72) |
где y 0 - в данном случае среднее передаточное число при Vmin, приведенное к началу координат, то есть при V=0 (см.рис.3.50); b - экспериментальный параметр, зависящий от динамической характеристики.
| Рис.3.51. Динамическая характеристика автомобиля (цифры - номера передач коробки) |
|
При V больше Vm значение ik постоянно (ik = i5). Поскольку связь показателей переменности режимов агрегатов с ik можно считатьлинейной, то зависимость (3.6) справедлива и для показателей переменности (¦n, ¦p, nk, nr, nc). Снижение ik с ростом V до Vm, характеризующей использование прямой и повышающей передач, вызывает соответствующее снижение скоростного режима двигателя в этом диапазоне (от Vmin до Vm); то есть по зависимости (3.72). Так как при V больше Vm величина ik постоянна, то зависимость
от V в этом диапазоне линейная. Так как Vm носит вероятностный характер по величине, то в рассматриваемом диапазоне от Vmin до Vmax (Vэт) зависимость
от V будет следующей:
| (3.73) |
а в целом может быть аппроксимирована полиномом (уравнением) второй или третьей степени
или
| (3.74) |
где y0, a, b, c - экспериментальные параметры больше нуля.
В диапазоне от Vm до Vmax нагрузочный режим двигателя прямо пропорционален V. В диапазоне от Vmin до Vm нагрузочный режим двигателя (
) изменяется незначительно (обеспечивается переключением передач). В силу вероятностного характера Vm в целом диапазоне скорости от Vmin до Vmзависимость
от V целесообразноописать экспонентой в виде
| (3.75) |
где yo - средняя нагрузка
на двигатель при Vmin, приведенная к началу координат, то есть при V = 0 (см.рис.3.50), b - экспериментальный параметр.
Амплитуда изменения скоростного режима двигателя обычно пропорциональна величине скоростного режима, так как при изменении режима (переключении передач и др.) она ограничивается величиной
. Поэтому для зависимости Anот V справедлива формула (3.73). В силу пропорциональности An и Apэта зависимость справедлива и для Ар. С учетом вероятностного характера параметров приведенных зависимостейих целесообразно определятьпо экспериментальным данным методом наименьших квадратов. Так как зависимости (3.72) и (3.73) определяются величиной Vm, то сначала целесообразно определить Vm, для чего необходимо аппроксимировать экспериментальные данные по
, Аn, Ap в интервале от Vminдо Vmax полиномом второй степени и по его параметрам определить Vm, при которой будет минимум функции
| (3.76) |
где a и b - коэффициенты полинома соответственно при Vи V2.
Предварительная обработка экспериментальных данных по
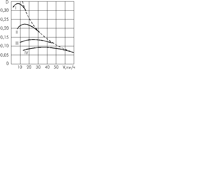
Аn, Aрпо полиному второй степени и расчет по формуле (3.76) показали, что среднее значение Vm для автомобилей КамАЗ составляет 36 км/ч (коэффициент использования скорости приэтом d = 0,423). Зависимости показателейрежимов работы агрегатов автомобилей КамАЗ от средней скорости приведены на рис.3.52.
По величине коэффициента корреляции сделан вывод, что теснота связи экспериментальных данных и аналитических зависимостей высокая. Для показателей ¦n, ¦p, nk, ik в интервале скорости от Vm до Vmax параметр b практически равен нулю, и, судя по величине критерия Стьюдента, незначим, то есть в этом интервале скорости указанные показатели постоянны.

Рис.3.52. Зависимость показателей режимов работы элементов автомобилей КамАЗ от средней скорости
|
|
|
По величине критерия Стьюдента видно, что изменение остальных показателей и указанных в интервале от Vminдо Vm с ростом V значимо с доверительной вероятностью не менее 0,9 при объеме выборки 30 [387]. Величина относительного изменения dy свидетельствует о существенном изменении показателей режимов работы агрегатов в реальных пределах средней скорости. Показатели напряженности режимов изменяются в 1,7 - 2,1 раза, а показатели переменности режимов - в 2,2 - 3,3 раза. Незначимо лишь изменение теплового режима работы двигателя под влиянием скорости автомобиля.
или






