от нагрузки на автомобиль и сопротивления дороги
Большое влияние на надежность автомобиля оказывают такие эксплуатационные факторы, как сопротивление дороги и нагрузка на автомобиль. Степень их влияния на надежность находится в пределах 65-81% [98]. Эти эксплуатационные факторы входят в уравнение тягового баланса для грузовых автомобилей
| (3.77) |
где Рк - сила тяги; Ga - вес автомобиля; Y - коэффициент суммарного сопротивления дороги (Y = ¦ + i); k - коэффициент обтекаемости; F- лобовая площадь; d - коэффициент учета вращающихся масс; g - ускорение силы тяжести; V’ - ускорение автомобиля.
В этом уравнении нагрузка на автомобиль и сопротивление дороги входят в первый член. Третий член за длительный промежуток времени (рабочая смена) в среднем равен нулю, так как за это время наблюдается как ускорение, так и замедление. Второй член уравнения для грузовых автомобилей незначителен, о чем свидетельствует доля его в общей силе тяги в зависимости от массы автомобиля и скорости (рис.3.53). Видно, что значительная доля Рb для легковых автомобилей находится в области высоких скоростей (V>50 км/ч).
|
|
|
Потребная в зависимости от сочетания эксплуатационных факторов сила тяги обеспечивается двигателем и коробкой передач по соотношению:
| (3.78) |
где M д - крутящий момент (нагрузка) двигателя; i0 - передаточное число главной передачи; rk - радиус колеса.
Сравнение уравнений (3.77) и (3.78) показывает на наличие прямолинейной связи нагрузочного режима двигателя (М д или
) и среднего передаточного числа коробки передач ik с нагрузкой на автомобиль М и коэффициентом сопротивления движению Y при прочих постоянных условиях в общем виде
| (3.79) |
где х - нагрузка на автомобиль М или коэффициент y; y0 - показатели режимов (
,ik) при негруженом автомобиле (М=0) или условно при y=0.
| Рис.3.53. Зависимость доли сопротивления воздуха в общей силе тяги от массы автомобиля и скорости |
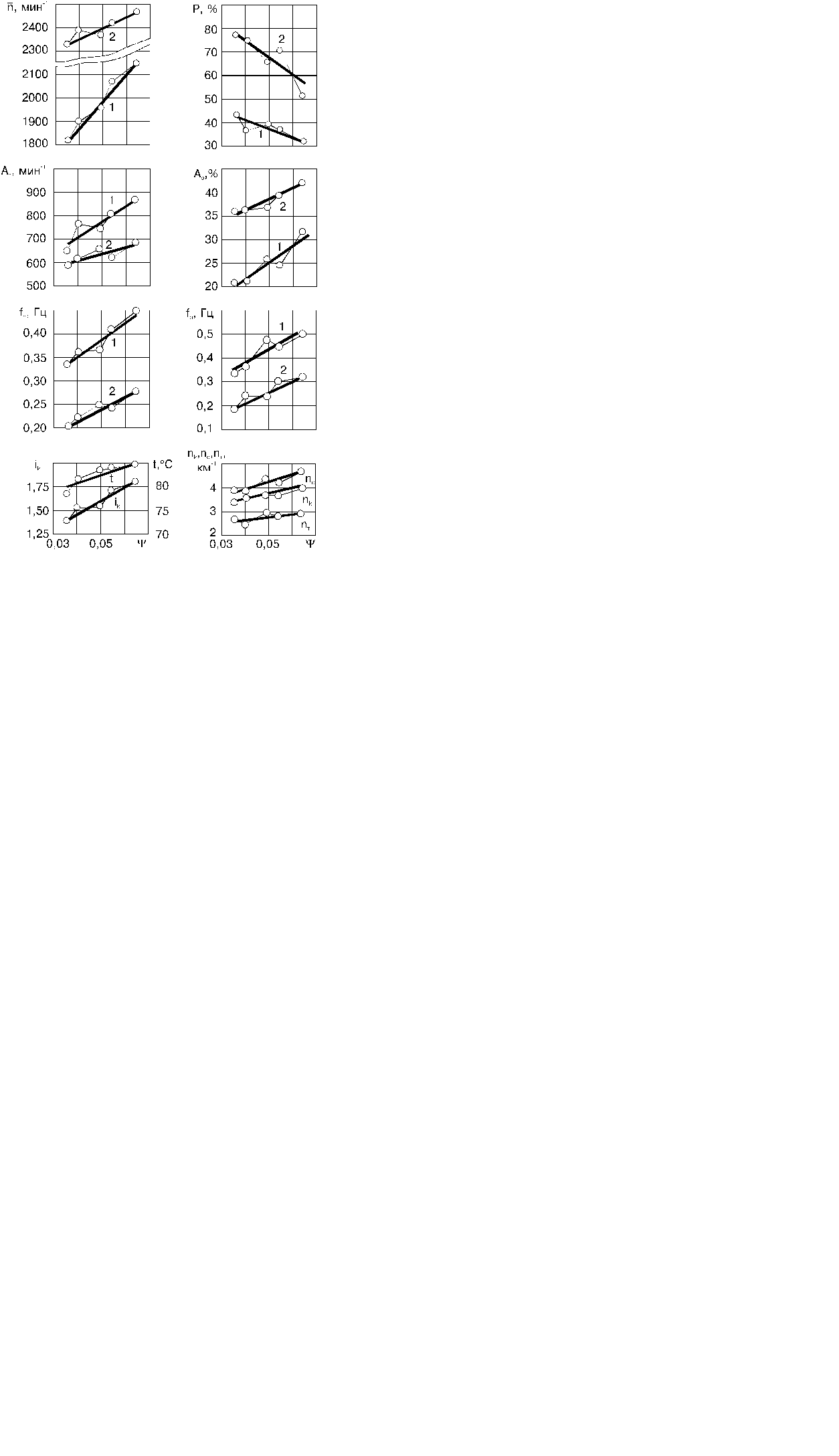
На величину параметров зависимости (3.79) существенное влияние оказывает средняя скорость автомобиля (помехонасыщенность), о чем свидетельствуют экспериментальные данныепоавтомобилям КамАЗ, приведенные на рис.3.54, 3.55. Как видно из рис.3.54, на загородных и междугородних маршрутах, для которых характерны высокие значения средней скорости, обусловленные только мощностью автомобиля, с ростом нагрузки на автомобиль пропорционально возрастает передаточное число ik, а следовательно, и скоростной режим агрегатов (An, Ap, fn, nk, nт, nc), изменение нагрузочного режима при этом обусловлено степенью изменения ik и
. Обычно в этих условиях скоростной режим двигателя близок к номинальному, то есть изменение несущественно, что вызывает рост нагрузочного режима
с увеличением нагрузки на автомобиль.
|
|
|
На городских маршрутах с высокой помехонасыщенностыю, с малой средней скоростью автомобиля, ограничиваемой уже внешними условиями, то есть скорость всего транспортного потока, повышение нагрузки на автомобиль вызывают более частое использование понижающих передач, чем на междугородних и загородных маршрутах, а следовательно, и более существенное повышение ik.

Рис.3.54. Зависимость показателей режимов работы элементов автомобилей КамАЗ от массы перевозимого груза: 1 - городские; 2 - загородные маршруты

Рис.3.55. Зависимость показателей режимов работы элементов автомобилей КамАЗ от коэффициента сопротивления дороги (1 - городские; 2 - загородные маршруты)
Это обусловливает более существенное повышение скоростного режима
двигателя с ростом нагрузки и соответственно снижение нагрузки
на двигатель. Более частое использование понижающих передач в этих условиях повышает частоту изменения режимов работы агрегатов (fn, fp, nk, nт, nc). Поскольку обеспечение скорости транспортного потока осуществляется более частым использованием коробки передач, то амплитуда изменения режимов работы двигателя (An, Ap) с ростом нагрузки на автомобиль снижается (рис.3.54).
Аналогичные соотношения наблюдаются и по влиянию на показатели режимов коэффициента сопротивления дороги. Судя по величине критерия Стьюдента, изменение не всех показателей можно считать значимым при доверительной вероятности 0,9. Это относится к таким показателям в зависимости от М, как
, fp на загородных маршрутах, Ap, nт, nc - на городских; в зависимости от y:
, An, t на загородных маршрутах nk, nт, nc - на городских. Высокие значения коэффициентов корреляции для значимо изменяющихся показателей свидетельствуют о высокой тесноте связи экспериментальных данных и линейных зависимостей (3.79).






