HАИМЕНОВАНИЕ: Составление и отладка программ с применением условных операторов
1.ЦЕЛЬ РАБОТЫ: Научится писать программы с использованием условных операторов
2.ПОДГОТОВКА К ЗАНЯТИЮ:
2.1. Изучить предложенную литературу.
2.2. Подготовить бланк отчёта.
3.ЛИТЕРАТУРА:
3.1 Белов В.В., Чистякова В.И. Программирование в Delphi: процедурное, объектно-ориентированное, визуальное. Учебное пособие. – М.: Горячая линия – Телеком, 2009
3.2 Голицына О.Л., Попов И.И. Основы алгоритмизации и программирования. – Форум, 2010
3.3Семакин И.Г., Шестаков А.П. Основы алгоритмизации и программирования. – М.: Издательский центр «Академия», 2008
3.4Семакин И.Г., Шестаков А.П. Основы программирования. – М.: Издательский центр «Академия», 2008
4. ПЕРЕЧЕНЬ ОБОРУДОВАНИЯ И ПРОГРАММНОГО ОБЕСПЕЧЕНИЯ:
4.1. Персональный IBM PC.
5.ЗАДАНИЕ:
5.1 Составить программу упорядочения по возрастанию значений в трех переменных.
5.2 Составить программу, которая выводит на экран меню:
1. Первое
2. Второе
3. Третье
и в зависимости от выбранного пункта выдает одну из надписей:
|
|
|
«Получите суп», «Получите картошку», «Получите компот», «Оставайтесь голодным». Написать два варианта программы: с использованием условного оператора if и с использованием переключателя.
5.3 Составить программу решения квадратного уравнения
, учитывающую все возможные варианты исходных данных:

В каждом случае должно выводиться соответствующее решение или сообщение.
6. ПОРЯДОК ВЫПОЛНЕНИЯ РАБОТЫ:
6.1 По предложенной литературе изучить необходимый материал;
6.2 Выполнить задания практического занятия и записать листинг программы;
6.3 Дать ответы на контрольные вопросы;
7. СОДЕРЖАНИЕ ОТЧЕТА:
7.1 Наименование и цель работы
7.2 Код программы
7.3 Записать результат (листинг) выполненых заданий.
7.4 Ответы на контрольные вопросы
7.5 Вывод о проделанной работе
8. КОНТРОЛЬНЫЕ ВОПРОСЫ:
8.1 Что такое ветвящейся алгоритм?
8.2 Выражение это?
8.3 Алгоритм с полными вложенными ветвлениями?
8.4 Оператор switch (описать)?
ПРИЛОЖЕНИЕ:
Для программирования ветвящихся алгоритмов в языке Си имеется несколько различных средств. К ним относятся рассмотренная выше операция условия - условный оператор if и оператор выбора switch.
Условный оператор. Формат условного оператора следующий:
if (выражение) оператор].; else оператор2;
Это полная форма оператора, программирующая структуру полного ветвления. Обычно выражение — это некоторое условие, содержащее операции отношения и логические операции. Значение выражения приводится к целому и интерпретируется в соответствии с правилом: равно нулю — ложь, не равно нулю — истина.
Если выражение истинно, выполняется оператор1, если ложно —оператор2.
|
|
|
Необходимо обратить внимание на следующие особенности синтаксиса условного оператора:
• выражение записывается в круглых скобках;
• точка с запятой после оператора 1 ставится обязательно.
Последнее обозначает, что правило Паскаля — не ставить точку с запятой перед else — здесь не работает.
Возможно использование неполной формы условного оператора if (выражение) оператор;
Вот пример использования полной формы условного оператора для нахождения большего значения из двух переменных а и Ь:
if(a>b) max=a; else max=b;
Та же самая задача может быть решена с использованием неполного ветвления следующим образом:

Напомним, что эту же задачу можно решить с помощью операции «условие» Теперь рассмотрим примеры программирования вложенных ветвящихся структур. Требуется вычислить функцию sign(x) — знак х, которая определена следующим образом:

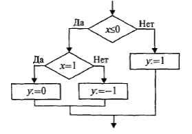
Пример 1. Алгоритм с полными вложенными ветвлениями:

if(х<=0)
if(x==0) y=0;
e l s e у=-1;
e l s e у=1;
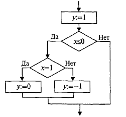
Пример 2. Алгоритм с неполным ветвлением:

у=1;
if(х<=0)
if(x==0) y=0;
e l s e y=-l;
Пример 3. Упорядочить по возрастанию значения в двух переменных

а, Ь:
Да
' '
с.-а
а:=Ь
Ь:=с
а>Ь Нет
if(a>b)
{с=а; a=b; b=c;}
c o u t «" a = " «a «" b = " «b;
/Вывод a,b/
В данном примере использован составной оператор — последовательность операторов, заключенная в фигурные скобки. В Си фигурные скобки выполняют роль операторных скобок по аналогии с Begin, End в Паскале.
Обратите внимание на то, что перед закрывающей фигурной скобкой точку с запятой надо ставить обязательно, а после скобки точка с запятой не ставится. В следующем примере вернемся к задаче вычисления площади треугольника по длинам трех сторон. Добавим в программу проверку условия правильности исходных данных: а, Ь, с должны быть положительными, а сумма длин каждой пары сторон треугольника должна быть больше длины третьей стороны.






