Индуктивность катушки этого контура равна … (число) мГн. 
На рисунке представлен колебательный контур из последовательно соединенных конденсатора, катушки индуктивности и резистора. К контуру подключено переменное напряжение. При некоторой частоте внешнего напряжения амплитуды падений напряжения на элементах цепи соответственно равны UR = 4 B, UL = 3 B, UC = 6 B. При этом амплитуда приложенного напряжения равна … (число) В. 5 
На рисунке представлен колебательный контур из последовательно соединенных конденсатора, катушки индуктивности и резистора. К контуру подключено переменное напряжение. При некоторой частоте внешнего напряжения амплитуды падений напряжения на элементах цепи соответственно равны UR = 4 B, UL = 3 B, UC = 3 B. При этом амплитуда приложенного напряжения равна … (число) В. 
Зависимость показателя преломления n вещества от длины световой волны λ при нормальной дисперсии отражена на рисунке …
2
После прохождения белого света через зеленое стекло свет становится зеленым. Это определяется тем, что световые волны других цветов в основном …
поглощаются;
Радуга на небе объясняется
дисперсией света;
После прохождения белого света через трехгранную призму наблюдается его разложение в спектр. Это явление объясняется …
дисперсией света;
Стеклянная призма разлагает белый свет. На рисунках представлен ход лучей в призме. Правильно отражает реальный ход лучей рисунок …

На диэлектрическое зеркало под углом Брюстера падает луч естественного света. Для отраженного и преломленного луча справедливы утверждения …
отраженный луч полностью поляризован
Свет падает из воздуха на диэлектрик, и отраженный луч полностью поляризован. Преломленный луч распространяется под углом 30° к нормали. Показатель преломления диэлектрика равен …
1,7
Свет падает из воздуха на диэлектрик, и отраженный луч полностью поляризован при угле падения 60°. Показатель преломления диэлектрика равен …
1,7
На рисунке показаны две пластинки турмалина, на которые падает пучок естественного света. После прохождения пластинки 1 свет полностью поляризован. J 1 и J 2 интенсивности света, прошедшего пластинки соответственно. Угол между направлениями OO и O’O’ j = 0°. J 1 и J 2 связаны соотношением …
J 2 = J 1
На рисунке показаны две пластинки турмалина, на которые падает пучок естественного света. После прохождения пластинки 1 свет полностью поляризован. J 1 и J 2 интенсивности света, прошедшего пластинки соответственно. Угол между направлениями OO и O’O’ j = 30°. J 1 и J 2 связаны соотношением … 
J 2 = 3 J 1/4
На рисунке показаны две пластинки турмалина, на которые падает пучок естественного света. После прохождения пластинки 1 свет полностью поляризован. J 1 и J 2 интенсивности света, прошедшего пластинки соответственно. J 2 = 0, следовательно, угол между направлениями OO и O’O’ и равен …
90°
Угол между плоскостями пропускания двух поляризаторов равен 45°. Угол увеличили в 2 раза, и интенсивность света, прошедшего через оба поляризатора, …
стала равной нулю
Пучок естественного света проходит через два идеальных поляризатора. Интенсивность естественного света равна I 0, угол между плоскостями пропускания поляризаторов равен φ. Согласно закону Малюса интенсивность света после первого поляризатора равна
Пучок естественного света проходит через два идеальных поляризатора. Интенсивность естественного света равна I 0, угол между плоскостями пропускания поляризаторов равен φ. Согласно закону Малюса интенсивность света после второго поляризатора равна …
На идеальный поляризатор падает свет интенсивности I ест от обычного источника. Поляризатор поворачивают вокруг направления распространения луча, и интенсивность света за поляризатором …
не меняется и равна 0,5 I ест
Когерентными называются волны, которые имеют
одинаковую поляризацию и постоянную разность фаз
Разность хода двух интерферирующих лучей монохроматического света равна λ/4 (λ – длина волны). Разность фаз колебаний равна …
p/2
Тонкая пленка вследствие явления интерференции в отраженном свете имеет зеленый цвет. При увеличении показателя преломления пленки ее цвет …
станет красным
Тонкая пленка вследствие явления интерференции в отраженном свете имеет зеленый цвет. При уменьшении показателя преломления пленки ее цвет
станет синим
Тонкая пленка вследствие явления интерференции в отраженном свете имеет зеленый цвет. При уменьшении толщины пленки ее цвет …
станет синим
Тонкая пленка вследствие явления интерференции в отраженном свете имеет зеленый цвет. При увеличении толщины пленки ее цвет …
станет красным
Постоянно меняющаяся радужная окраска мыльных пузырей объясняется …
интерференцией света
Радужные пятна на поверхности воды, покрытой тонкой пленкой бензина, объясняются
интерференцией света
На рисунке показаны два когерентных источника S 1 и S 2 монохроматического излучения с длиной волны 600 нм. Оптическая разность хода лучей от этих источников до точки А равна 1,2 мкм.
В точке А наблюдается … 
максимум интерференции, так как разность хода равна четному числу полуволн
На рисунке показаны два когерентных источника S 1 и S 2 монохроматического излучения с длиной волны 480 нм. Оптическая разность хода лучей от этих источников до точки А равна 1,2 мкм.
В точке А наблюдается … 
минимум интерференции, так как разность хода равна нечетному числу полуволн
На рисунке показаны два когерентных источника S 1 и S 2 монохроматического излучения с длиной волны 480 нм. Оптическая разность хода лучей от этих источников до точки А равна 2,4 мкм.
В точке А наблюдается … 
максимум интерференции, так как разность хода равна четному числу полуволн
На рисунке показаны источники когерентных волн S 1 и S 2. Разность фаз колебаний, возбуждаемых этими волнами в точке О (центральный максимум), равна …
0
На рисунке представлена схема разбиения волновой поверхности Ф на зоны Френеля.
Разность хода между лучами и равна 
l/2
За непрозрачным диском, освещенным ярким источником света небольшого размера, поставили обратимую фотопленку, исключив попадание на нее отраженных от стен комнаты лучей. После проявления пленки в центре тени можно обнаружить светлое пятно. При этом наблюдается …
дифракция света
Одна и та же дифракционная решётка освещается различными монохроматическими излучениями с разными интенсивностями. Случаю освещения решётки светом с наибольшей частотой соответствует рисунок (J - интенсивность света, j - угол дифракции) …
4
Одна и та же дифракционная решётка освещается различными монохроматическими излучениями с разными интенсивностями. Случаю освещения решётки светом с наибольшей длиной волны соответствует рисунок (J - интенсивность света, j - угол дифракции) …
3
Одна и та же дифракционная решётка освещается различными монохроматическими излучениями с разными интенсивностями. Случаю освещения решётки светом с наименьшей постоянной решетки соответствует рисунок (J - интенсивность света, j - угол дифракции) … 
Свет от некоторого источника, представляющий собой две плоские монохроматические волны с длинами волн l1 и l2, падает на две дифракционных решетки с числом щелей в этих решетках N 1 и N 2 и постоянными d 1 и d 2. При нормальном падении света на дифракционную решетку 1 получено изображение в максимуме m, показанное на рисунке 1. После того, как дифракционную решетку 1 поменяли на решетку 2, изображение максимума m стало таким, как показано на рисунке 2.
Постоянные решетки d и число щелей N у этих
решеток соотносятся следующим образом
N 2 > N 1; d 1 = d 2
Свет от некоторого источника, представляющий собой две плоские монохроматические волны с длинами волн l1 и l2, падает на две дифракционных решетки с числом щелей в этих решетках N 1 и N 2 и постоянными d 1 и d 2. При нормальном падении света на дифракционную решетку 1 получено изображение в максимуме m, показанное на рисунке 1. После того, как дифракционную решетку 1 поменяли на решетку 2, изображение максимума m стало таким, как показано на рисунке 2.
Постоянные решетки d и число щелей N у этих
решеток соотносятся следующим образом …
N 2 = N 1; d 1 < d 2
Угол дифракции в спектре k- гo порядка больше для
красных лучей
Дифракционная решетка освещается зеленым светом. При освещении решетки красным светом картина дифракционного спектра на экране …
расширится
Свет падает из воздуха на диэлектрик и отраженный луч полностью поляризован. Преломленный луч распространяется под углом 30° к нормали. Падающий луч составляет с нормалью угол … (число) градусов. 60
Свет падает из воздуха на диэлектрик и при угле падения 50° отраженный луч полностью поляризован. Преломленный луч составляет с нормалью угол … (число) градусов.
Когерентные световые лучи с длиной волны 500 нм дают интерференционную картину. Максимум первого порядка возникает при разности хода … (число) нм.
Когерентные световые лучи с длиной волны 400 нм дают интерференционную картину. Минимум третьего порядка возникает при разности хода … (число) нм.
Когерентные световые лучи с длиной волны 400 нм дают интерференционную картину. Максимум второго порядка возникает при разности хода … (число) нм
Когерентные световые лучи с длиной волны 560 нм дают интерференционную картину. Оптические разности хода лучей для соседних темных интерференционных полос отличаются на … (число) нм.
На рисунке показаны две пластинки турмалина, на которые падает пучок естественного света. После прохождения пластинки 1 свет полностью поляризован. I 0 – интенсивность естественного света, падающего на пластинку 1, I 1 и I 2 – интенсивности света, прошедшего пластинки 1 и 2 соответственно. Угол между направлениями 00 и 0’0’ j = 60°. Отношение интенсивностей I 0/ I 2 равно … (число).
Пучок естественного света интенсивностью I 0 пропускают через два последовательных идеальных поляризатора, угол между осями свободного пропускания которых равен 45°. Отношение интенсивности к интенсивности пучка I, прошедшего оба поляризатора, равно … (число).
Абсолютно черное тело – это тело …
поглощающее все излучение, падающее на него
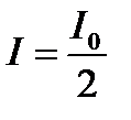
На рисунке показана кривая зависимости спектральной плотности энергетической светимости абсолютно черного тела от длины волны при Т=6000К. Если температуру тела уменьшить в 2 раза, то энергетическая светимость абсолютно черного тела уменьшится... в 16 раз
На рисунке показаны кривые зависимости спектральной плотности энергетической светимости абсолютно черного тела от длины волны при разных температурах. Если длина волны, соответствующая максимуму излучения, уменьшилась в 4 раза, то температура абсолютно черного тела …
увеличилась в 4 раза
На рисунке показаны кривые зависимости спектральной плотности энергетической светимости абсолютно черного тела от длины волны при разных температурах. Если длина волны, соответствующая максимуму излучения, увеличилась в 4 раза, то температура абсолютно черного тела …
уменьшилась в 4 раза
Длина волны теплового излучения нагретого тела увеличилась в два раза. Температура тела при этом
уменьшилась в 2 раза
На рисунках по оси абсцисс отложена частота теплового излучения тела, по оси ординат - излучательная способность. Кривые соответствуют двум температурам, причем T1 < T2. На качественном уровне правильно отражает законы излучения АЧТ рисунок...

На рисунках по оси абсцисс отложена длина волны теплового излучения тела, по оси ординат - излучательная способность. Кривые соответствуют двум температура, причем T1 < T2. На качественном уровне правильно отражает законы излучения АЧТ рисунок...

Импульс фотона имеет наибольшее значение в диапазоне частот...
рентгеновского излучения
На рисунке показаны направления падающего фотона (g), рассеянного фотона (g') и электрона отдачи (e). Угол рассеяния 90º, направление движения электрона отдачи составляет с направлением падающего фотона угол φ=30°. Если импульс электрона отдачи 3 (МэВ·с)/м, то импульс падающего фотона (в тех же единицах) равен …
1,5 3
На рисунке показаны направления падающего фотона (g), рассеянного фотона (g') и электрона отдачи (e). Угол рассеяния 90º, направление движения электрона отдачи составляет с направлением падающего фотона угол φ=30°. Если импульс электрона отдачи 2 (МэВ·с)/м, то импульс падающего фотона (в тех же единицах) равен …
На рисунке показаны направления падающего фотона (g), рассеянного фотона (g') и электрона отдачи (e). Угол рассеяния 90º, направление движения электрона отдачи составляет с направлением падающего фотона угол φ=30°. Если импульс рассеянного фотона 2 (МэВ·с)/м, то импульс электрона отдачи (в тех же единицах) равен …
Явление испускания электронов под действием электромагнитного излучения называется …
фотоэффектом
Красная граница фотоэффекта приходится на зеленый свет. Фотоэффект будет наблюдаться при освещении катода светом …
фиолетовым
Величина фототока насыщения при внешнем фотоэффекте зависит…
от интенсивности падающего света
При изучении внешнего фотоэффекта увеличили освещенность катода. Это привело к …
увеличению значения тока насыщения
При внешнем фотоэффекте в металле максимальная скорость вылета фотоэлектронов зависит от...
частоты излучения
Внешний фотоэффект в металле вызывается монохроматическим излучением. При увеличении интенсивности этого излучения в 2 раза максимальная скорость фотоэлектронов, покидающих металл...
не изменится
На рисунке приведена вольтамперная характеристика (ВАХ) фотоприемника с внешним фотоэффектом. На графике этой ВАХ попаданию всех, вылетевших в результате фотоэмиссии электронов, на анод фотоприемника соответствует область... 
Полному торможению всех вылетевших в результате фотоэмиссии электронов на графике ВАХ внешнего фотоэффекта соответствует область, отмеченная цифрой...
1
Какой области ВАХ вакуумного диода соответствует утверждение: все электроны, вылетающие из катода в результате термоэлектронной эмиссии, достигают анода?
5
На рисунке приведены две вольтамперные характеристики вакуумного фотоэлемента. Если Е – освещенность элемента, а l - длина волны падающего на него света, то… 
l 1= l 2, Е1>E2
На рисунке приведены две вольтамперные характеристики вакуумного фотоэлемента. Если Е – освещенность элемента, а l - длина волны падающего на него света, то … 
l 1 < l 2, Е1 = E2
На рисунке представлены две вольтамперные характеристики вакуумного фотоэлемента. Если Е – освещенность фотокатода, а ν – частота падающего на него света, то справедливо следующее утверждение... ν1 = ν2; Е1 > Е2
На рисунке представлены две вольтамперные характеристики вакуумного фотоэлемента. Если Е – освещенность фотокатода, а λ – длина волны падающего на него света, то справедливо следующее утверждение... ν1 < ν2; Е1 > Е2
На рисунке представлены две вольтамперные характеристики вакуумного фотоэлемента. Если Е – освещенность фотокатода, а λ – длина волны падающего на него света, то справедливо следующее утверждение λ1 > λ2; Е1 > Е2
На черную пластинку падает поток света. Если число фотонов, падающих на единицу поверхности в единицу времени увеличить в 2 раза, а черную пластинку заменить зеркальной, то световое давление...
увеличится в 4 раза
Одинаковое количество фотонов с длиной волны λ нормально падает на непрозрачную поверхность. Наибольшее давление свет будет оказывать в случае
λ = 400 нм, поверхность - идеальное зеркало
Де Бройль обобщил соотношение для фотона на любые волновые процессы, связанные с частицами, импульс которых равен р. При одинаковой скорости наибольшей длиной волны обладают …
позитроны
Де Бройль обобщил соотношение для фотона
на любые волновые процессы, связанные с частицами, импульс которых равен р. При одинаковой длине волны наибольшей скоростью обладают …
электроны
Де Бройль обобщил соотношение для фотона
на любые волновые процессы, связанные с частицами, импульс которых равен р. При одинаковой скорости наименьшей длиной волны обладают …) а - частицы
Де Бройль обобщил соотношение для фотона
на любые волновые процессы, связанные с частицами, импульс которых равен р. При одинаковой длине волны наименьшей скоростью обладают а - частицы
Стационарным уравнением Шредингера для частицы в одномерном ящике с бесконечно высокими стенками является уравнение …
Стационарным уравнением Шредингера для частицы в трехмерном ящике с бесконечно высокими стенками является уравнение …
Стационарным уравнением Шредингера для электрона в водородоподобном ионе является уравнение …
Нестационарным уравнением Шредингера является уравнение …
Частица массой m с энергией подлетает к потенциальному барьеру высотой.
Для области I уравнение Шредингера имеет вид

Частица массой m с энергией подлетает к потенциальному барьеру высотой.
Для области II уравнение Шредингера имеет
вид …

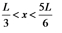
Вероятность dP (x) обнаружения электрона вблизи точки с координатой х на участке dx, равна …
Вероятность обнаружить электрон на участке (a, b) одномерного потенциального ящика с бесконечно высокими
стенками вычисляется по формуле, где - плотность
вероятности, определяемая - функцией. -функция имеет вид, указанный на рисунке, а вероятность обнаружить электрон на участке равна …
1!2
3!8
5!8
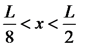
На рисунке изображена плотность вероятности обнаружения микрочастицы на различных расстояниях от «стенок» ямы.
Вероятность ее обнаружения на участке l /4 < х < l /2 равна …
3!4
На рисунках приведены картины распределения плотности вероятности нахождения микрочастицы в потенциальной яме с бесконечно высокими стенками.
Состоянию с квантовым числом n = 2 соответствует …
4
. На рисунках приведены картины распределения плотности вероятности нахождения микрочастицы в потенциальной яме с бесконечно высокими стенками.
Состоянию с квантовым числом n = 4 соответствует
1
На рисунке изображены стационарные орбиты атома водорода согласно модели Бора, а также условно изображены переходы электрона с одной стационарной орбиты на другую, сопровождающиеся излучением кванта энергии.
В ультрафиолетовой области спектра эти переходы дают серию Лаймана, в видимой – серию Бальмера, в инфракрасной – серию Пашена. Наибольшей частоте кванта света в серии Лаймана соответствует переход …
n = 5 n = 1
На рисунке изображены стационарные орбиты атома водорода согласно модели Бора, а также условно изображены переходы электрона с одной стационарной орбиты на другую, сопровождающиеся излучением кванта энергии.
В ультрафиолетовой области спектра эти переходы дают серию Лаймана, в видимой – серию Бальмера, в инфракрасной – серию Пашена. Наименьшей частоте кванта в серии Бальмера соответствует переход …
n = 3 n = 2
На рисунке изображены стационарные орбиты атома водорода согласно модели Бора, а также условно изображены переходы электрона с одной стационарной орбиты на другую, сопровождающиеся излучением кванта энергии.
В ультрафиолетовой области спектра эти переходы дают серию Лаймана, в видимой – серию Бальмера, в инфракрасной – серию Пашена. Наибольшей частоте кванта в серии Бальмера соответствует переход …
n = 5 n = 2
На рисунке изображены стационарные орбиты атома водорода согласно модели Бора, а также условно изображены переходы электрона с одной стационарной орбиты на другую, сопровождающиеся излучением кванта энергии.
В ультрафиолетовой области спектра эти переходы дают серию Лаймана, в видимой – серию Бальмера, в инфракрасной – серию Пашена. Наименьшей частоте кванта в серии Пашена соответствует переход …
n = 4 n = 3
На рисунке представлена диаграмма энергетических уровней атома.
Переход с излучением фотона наибольшей длины волны обозначен цифрой …
На рисунке представлена диаграмма энергетических уровней атома.
Переход с излучением фотона наибольшей частоты обозначен цифрой …
На рисунке представлена диаграмма энергетических уровней атома водорода.
Поглощение фотона с наибольшей длиной волны происходит при переходе, обозначенном стрелкой под номером …
При переходах электрона в атоме с одного уровня на другой закон сохранения момента импульса накладывает определенные ограничения (правило отбора).
Система энергетических уровней атома водорода имеет вид, представленный на рисунке, и запрещенными переходами являются:
3s – 2s 4f – 2p
При переходах электрона в атоме с одного уровня на другой закон сохранения момента импульса накладывает определенные ограничения (правило отбора).
Система энергетических уровней атома водорода имеет вид, представленный на рисунке, и запрещенными переходами являются:
3s – 2s 4f – 3p
При переходах электрона в атоме с одного уровня на другой закон сохранения момента импульса накладывает определенные ограничения (правило отбора).
Система энергетических уровней атома водорода имеет вид, представленный на рисунке, и запрещенными переходами являются:
2s – 1s 4f – 2p
При переходах электрона в атоме с одного уровня на другой закон сохранения момента импульса накладывает определенные ограничения (правило отбора).
Система энергетических уровней атома водорода имеет вид, представленный на рисунке, и запрещенными переходами являются:
2s – 1s
4s – 3d
. При переходах электрона в атоме с одного уровня на другой закон сохранения момента импульса накладывает определенные ограничения (правило отбора).
В энергетическом спектре атома водорода (рис.) запрещенным переходом является
4f – 2p
При увеличении абсолютной температуры абсолютно черного тела в 3 раза интегральная плотность его излучения увеличивается в … (число) раз.
Температура абсолютно черного тела увеличилась в два раза. При этом интегральная плотность его излучения увеличилась в … (число) раз.
На рисунке показаны кривые зависимости спектральной плотности энергетической светимости абсолютно черного тела от длины волны при разных температурах.
Кривая 1 соответствует спектру излучения абсолютно черного тела при температуре 6000К, а кривая 2 соответствует температуре … (число) К
На рисунке показаны кривые зависимости спектральной плотности энергетической светимости абсолютно черного тела от длины волны при разных температурах.
Кривая 2 соответствует спектру излучения абсолютно черного тела при температуре 1500 К, а кривая 1 соответствует температуре … (число) К.
Катод вакуумного фотоэлемента освещается светом с энергией квантов 10 эВ. Если фототок прекращается при подаче на фотоэлемент запирающего напряжения 4 В, то работа выхода электронов из катода равна … (число) эВ. 6
В атоме К и L оболочки заполнены полностью. Общее число электронов в атоме равно … (число).
На рисунке показаны направления падающего фотона (), рассеянного фотона (g' ) и электрона отдачи (e).
Угол рассеяния 90º, направление движения электрона отдачи составляет с направлением падающего фотона угол. Импульс электрона отдачи 2 (МэВ·с)/м, а импульс рассеянного фотона равен … (число) (МэВ·с)/м.
На рисунке показаны направления падающего фотона (), рассеянного фотона (g' ) и электрона отдачи (e).
Угол рассеяния 90º, направление движения электрона отдачи составляет с направлением падающего фотона угол. Импульс рассеянного фотона 2 (МэВ·с)/м, а импульс электрона отдачи (в тех же единицах) равен … (число) (МэВ·с)/м.
На рисунке представлена вольтамперная характеристика вакуумного фотоэлемента, облучаемого фотонами с энергией 4 эВ.
Работа выхода электронов из катода фотоэлемента равна … (число) эВ.
На рисунке представлена вольтамперная характеристика вакуумного фотоэлемента.
Работа выхода электрона из катода фотоэлемента равна 3 эВ. Энергия фотонов, падающих на катод фотоэлемента составляет … (число) эВ
. На рисунке представлена зависимость максимальной кинетической энергии Е K фотоэлектронов от частоты фотонов, падающих на поверхность катода фотоэлемента.
При энергии фотонов 5 эВ максимальная кинетическая энергия фотоэлектронов равна … (число) эВ.
На рисунке представлена зависимость максимальной кинетической энергии Е K фотоэлектронов от частоты фотонов, падающих на поверхность катода фотоэлемента.
Максимальная кинетическая энергия фотоэлектронов равна 3 эВ, следовательно, энергия фотонов составляет … (число) эВ.
Из перечисленных ниже частиц считается нуклоном …
нейтрон
В ядре изотопа углерода содержится
6 протонов и 8 нейтронов
. В осуществлении ядерной реакции
α-частица
Произошло столкновение α-частицы с ядром бериллия
В результате образовался нейтрон и изотоп

При бомбардировке ядер изотопа азота
нейтронами образуется изотоп бора
Ещё в этой ядерной реакции образуется
α-частица
Два ядра гелия
слились в одно, при этом был излучен протон. В результате этой реакции образовалось ядро …
При бомбардировке протонами ядер лития
образуется α-частица. Вторым продуктом реакции является
α-частица
Один из видов радиоактивного излучения представляет собой поток быстро движущихся электронов. Это... В- -излучение
12. Испусканием электронов обязательно сопровождается... 1) распад
Испусканием позитронов обязательно сопровождается 
γ - излучение представляет собой поток
квантов электромагнитного излучения, испускаемых атомными ядрами при переходе из возбужденного состояния в основное
Из перечисленных ниже превращений к
- распаду относится … 
Из перечисленных ниже превращений к
распаду относится … 
Из перечисленных ниже превращений к
α - распаду относится … 
Из перечисленных ниже превращений к протонному распаду относится 
. Из перечисленных ниже превращений к К-захвату относится… 
В процессе сильного взаимодействия принимают участие... Протоны Нейтроны
В сильном взаимодействии не принимают участие: Электроны Фотоны
И электроны, и фотоны являются участниками:
1) гравитационного взаимодействия
2) электромагнитного взаимодействия
В процессе сильного взаимодействия не принимают участия …фотоны
В процессе сильного взаимодействия принимают участие …нуклоны
В природе осуществляются четыре типа фундаментальных взаимодействий. Фотоны участвуют в …
1) электромагнитном и гравитационном
Реакция распада нейтрона происходит по схеме 
лептонного заряда
На рисунке показана кварковая диаграмма распада - мезона. Эта диаграмма соответствует реакции …

На рисунке показана кварковая
диаграмма распада - мезона. 3)

На рисунке показана кварковая диаграмма распада
3) 
Значение зарядового числа Z при
1
При -распаде значение зарядового числа Z
меняется на … (число). 2
При -распаде значение массового
числа А меняется на … (число).
Через интервал времени, равный двум периодам полураспада, доля распавшихся радиоактивных атомов составит … (число) % от первоначального количества атомов.
47.Через интервал времени, равный двум периодам полураспада, доля не распавшихся радиоактивных атомов составит … (число) % от первоначального количества атомов.
Активность некоторого изотопа за 10 суток уменьшилась на 50%. Период полураспада этого изотопа … (число) суток.
В единицах постоянной Планка ħ спин электрона равен … (число).
0,5
В единицах постоянной Планка ħ спин фотона равен … (число).