Общая шкала оценки знаний
| Аттестационная буквенная оценка | Цифровой эквивалент баллов | %-е содержание степени усвоения учебной дисциплины | Оценка по традиционной системе |
| А | 4,0 | 95-100 | отлично |
| А- | 3,67 | 90-94 | |
| В+ | 3,33 | 85-89 | хорошо |
| В | 3,0 | 80-84 | |
| В- | 2,67 | 75-79 | |
| С+ | 2,33 | 70-74 | удовлетворительно |
| С | 2,0 | 65-69 | |
| С- | 1,67 | 60,64 | |
| D+ | 1,33 | 55-59 | |
| D | 1,0 | 50-54 | |
| F | 0-49 | неудовлетворительно |
Итоговая оценка по дисциплине в процентном содержании определяется:
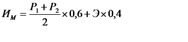
В случае если модуль состоит из одной дисциплины, то итоговой оценкой по модулю является результат итогового контроля по данной дисциплине. При этом итоговая оценка включает оценки по видам работ, предусмотренных учебной программой дисциплины (практические, лабораторные, расчетно-графические, курсовые), рассчитывается по формуле:
,где
Р1 и Р2 – оценки первого и второго рубежного контроля;
Э – оценка за экзамен;
ИМ – итоговая экзаменационная оценка за модуль дисциплин
0,4 и 0,6 – соответственно коэффициенты весомости экзаменационной оценки и оценок рубежного контроля.
В случае если модуль состоит из нескольких компонентов, то экзамен проводится по основному компоненту (Эок), а по другим компонентам формой итогового контроля являются реферат, эссе, проектная работа или курсовая работа (Эдк), рассчитывается по формуле:
,где
Эок – экзамен по основному компоненту;
Эдк – экзамен по другим компонентам;
ККМ – количество компонентов модуля
0,4 и 0,6 – соответственно коэффициенты весомости экзаменационной оценки и оценок рубежного контроля.
ИМ – итоговая экзаменационная оценка за модуль дисциплин
Критерии оценки знаний обучающихся. Условием для получения кредитов по модулю является положительная оценка по итоговому контролю и выполнению всех видов работ, предусмотренных модулем.
Если модуль состоит из нескольких дисциплин, то условием для получения кредитов по модулю является выполнение всех требований по составляющим компонентам.
В случае если модуль состоит из одной дисциплины, то итоговой оценкой по модулю является результат итогового контроля по данной дисциплине. При этом итоговая оценка включает оценки по видам работ, предусмотренных учебной программой дисциплины (практические, лабораторные, расчетно-графические, курсовые).
В случае если модуль состоит из нескольких компонентов, то экзамен проводится по основному компоненту, а по другим компонентам формой итогового контроля являются реферат, эссе, проектная работа или курсовая работа.
Результаты рейтингов по дисциплинам модуля учитываются при допуске к итоговому контролю.
При неудовлетворительной оценке (менее 50%) одного из составных компонентов модуля, кредиты по модулю не присуждаются.
Объем тестовых заданий на 1 кредит -100 вопросов, 2 кредита -200 вопросов, 3 кредита -300 вопросов и т.п;
Объем тестовых заданий на 1 кредит -100 вопросов, 2 кредита -200 вопросов, 3 кредита -300 вопросов и т.п;
Оценка «отлично» (А; 4,0;95-100%; А-; 3,67;90-94%) выставляется в случае, если обучающийся показал полное усвоение программного материала и не допустил каких-либо ошибок, неточностей, своевременно и правильно выполнил контрольные задания, работы, коллоквиумы, домашние задания, проявил при этом оригинальное мышление, занимался научно-исследовательской работой, самостоятельно использовал дополнительную научную литературу при изучении дисциплины, умел самостоятельно систематизировать программный материал.
Оценка «хорошо» (В+;3,33; 85-89%; В; 3,0; 80-84%; В-; 2,67; 75-79%) ставится в случае, если студент освоил программный материал не ниже 75 % и при этом не допустил грубых ошибок в расчетах (в ответе), своевременно выполнил контрольные работы, задания, коллоквиумы, домашние задания и сдавал их без принципиальных замечаний, использовал дополнительную литературу по указанию преподавателя, занимался научно-исследовательской работой, допускал непринципиальные неточности или принципиальные ошибки, исправленные самим студентом, сумел систематизировать программный материал с помощью преподавателя.
Оценка «удовлетворительно» (С+; 2,33; 70-74%; С –;2,0; 65-69%; С-; 1,67; 60-64%; D+; 1,33; 55-59%; D; 1,0;50-54%) ставится в том случае, если студент освоил программный материал не менее чем на 50%, при выполнении контрольных и лабораторных работ, домашних заданий нуждался в помощи преподавателя, при сдаче коллоквиума допускал неточности и непринципиальные ошибки, не проявил активность, в исследовательской работе, ограничивался только учебной литературой, указанной преподавателем, испытывал больше затруднения и систематизации материала.
Оценка «неудовлетворительно» (F; 0; 0-49%) ставится в случае, если студент обнаружил пробелы в знании основного материала, предусмотренного программой, не освоил более половины материала, предусмотренного программой, не освоил более половины программы дисциплины, в ответах допустил принципиальные ошибки, не выполнил отдельные задания, предусмотренные формами текущего, промежуточного и итогового контроля, не проработал всю основную литературу, предусмотренную программой.
3.2.10 Процедура апелляции. Студент, несогласный с результатом итогового контроля, подает апелляцию не позднее следующего рабочего дня после проведения экзамена.
На период экзаменационной сессии (промежуточной аттестации) приказом ректора создается апелляционная комиссия из числа преподавателей, квалификация которых соответствует профилю апеллируемых дисциплин.
Заявление рассматривается апелляционной комиссией в течение двух дней со дня подачи заявления в присутствии студента и преподавателя-экзаменатора.
Результаты апелляции оформляются протоколом и на основании ее решения, составляется индивидуальная экзаменационная ведомость на студента, которая прилагается к основной экзаменационной ведомости.
Студент должен быть ознакомлен (устно или письменно) с результатами апелляции.
Изменение оценок по экзаменам, не являющимся предметом апелляции, не допускается.






