1. Взаимодействие фенолов с металлами и щелочами:

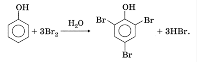
2. Бромирование фенола:

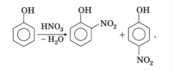
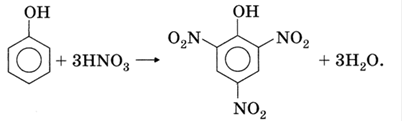
3. Нитрование фенола:


4. Гидрирование ароматического кольца фенола:

5. Поликонденсация фенола с альдегидами:

III. Химический свойства альдегидов и кетонов:
1. Гидрирование альдегидов и кетонов:

2. Взаимодействие альдегидов с оксидом серебра:

3. Взаимодействие альдегидов с аммиачным раствором оксидом серебра:

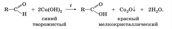
4. Взаимодействие альдегидов с оксидом меди (II):

5. Взаимодействие альдегидов с циановодородной:

6. Взаимодействие альдегидов с гидросульфитом натрия:







