1. Взаимодействие спитов со щелочными и щелочноземельными металлами:
2Na + 2C2H5OH → 2C2H5ONa + H2
2. Взаимодействие спиртов с галогеноводородами:
C2H5OH + HBr → C2H5Br + H2O
3. Межмолекулярная дегидратация спиртов:
H2SO4
CH3OH + HOCH3 → CH3 – O – CH3 + H2O
4. Внутримолекулярная дегидратация спиртов:
H2SO4 t≥1400C
С2H5OH --------→ CH2=CH2 + H2O
5. Взаимодействие спиртов с карбоновыми кислотами:

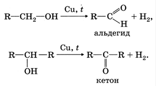
6. Окисление спиртов:

7. Дегидратация спиртов:

8. Специфические свойства многоатомных спиртов:
