Основные параметры винтовых двигателей

Винтовые двигатели имеют разные передаточные числа, зависящие от соотношения числа зубьев ротора и статора. Двигатели, имеющие и = 1:2, развивают максимальные частоты вращения и минимальные вращающие моменты. Их применяют, когда требуется высокая частота вращения.

По мере увеличения числа заходов ротора (т.е. передаточного отношения) уменьшается частота вращения и увеличивается вращающий момент.

Двигатели с многозаходными рабочими органами обладают большой нагрузочной способностью и более жесткой характеристикой, что обусловило выбор для забойного винтобура Д2-172М передаточного числа и = 9:10.

Вращающий момент — основная характеристика винтового двигателя. При анализе его рабочего процесса рассматривается действие перепада давления жидкости в камерах пары ротор — статор, так как на этой длине происходит разобщение камер с полостями высокого и низкого давления, расположенных выше и ниже рабочих органов. В каждом поперечном сечении на длине шага ротора возникает неуравновешенная гидравлическая сила R 1,действующая на центр вращения ротора (рис. 2.7).

В двигателях с многозаходным ротором площадка, на которую действует гидравлическая сила, непостоянна по длине шага. Если провести второе сечение на некотором расстоянии от рассматриваемого, то возникает гидравлическая сила на единице длины рабочего органа. Вращающий момент (в Н·м) на длине шага ротора

(2.37)

где р — перепад давления, Па; D — расчетный диаметр ротора, м; t — шаг зубьев ротора, м; е — эксцентриситет, м; z 1— число зубьев статора.

Поперечная удельная сила (в Н/м) на длине половины шага ротора

(2.38)

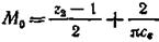
Вращающий момент винтовых двигателей

(2.39)

где М 0 — удельный момент винтового двигателя

(2.40)

(се — безразмерный параметр, являющийся отношением эксцентриситета е к радиусу зуба зацепления r).

Удельный момент зависит от числа заходов ротора и безразмерного параметра се. По физическому смыслу он представляет собой момент винтового механизма с единичными размерами (D, е и t) и единичным перепадом давления. Удельный момент минимален для однозаходных механизмов и возрастает с увеличением числа заходов.

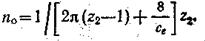
Частота вращения вала винтовых двигателей объемного действия

(2.41)

где Q — расход жидкости, подаваемой в двигатель, м3/с; V о объем камеры рабочего органа двигателя, м3

(2.42)

Здесь F шплощадь поперечного сечения шлюза, м2; Т — шаг винтовой поверхности статора, м; z2 — число зубьев ротора.

В винтовых двигателях с гипоциклоидальным центроидным зацеплением площадь сечения шлюза

(2.43)

Кроме того, поскольку передаточное число определяет скорости переносного ωпер и относительного ωот движений, можно записать

(2.44)

После подстановок и соответствующих преобразований получим выражение для расчета частоты вращения выходного вала винтового двигателя:

(2.45)

где п о— удельная частота вращения выходного вала — безразмерный параметр, определяемый заходностью рабочего органа двигателя и коэффициентом се

(2.46)

По физическому смыслу величина п опредставляет собой частоту вращения винтового механизма с единичными геометрическими размерами и единичным расходом жидкости. Винтовые двигатели с однозаходным ротором являются высокоскоростными, поэтому более рациональны многозаходные винтовые механизмы. В частности, для получения частоты вращения выходного вала двигателя в пределах 100—200 об/мин число заходов ротора должно быть не менее восьми. В двигателях Д1-195 и Д2-172м выбрано число заходов ротора, равное девяти.





Подборка статей по вашей теме: