Осевая нагрузка по опору турбобура создается силой Т от перепада давления в ступенях ротора, весом ротора в жидкости G и реакцией забоя R.
В шпинделе турбобура все осевые силы суммируются
(2.36)
В зависимости от соотношения сил эта нагрузка может действовать вниз, вверх или опора может быть разгружена (плавающая).
Если турбобур состоит из нескольких секций, то в формулу (2.36) входят только те силы, которые действуют на главную-осевую опору (нижняя секция или шпиндель). При независимой подвеске роторов верхних секций их веса и действующие на них силы воспринимаются собственными осевыми опорами.
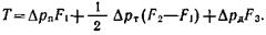
Гидравлическая сила, действующая на опору многоступенчатого турбобура Т12МЗБ. Обозначить перепады давления: Δ р т— в турбине; Δ р д— в долоте; Δ р п—в пяте; F 1, F 2, F 3— площади кругов диаметром d 1, d 2и d 3соответственно.
В симметричных турбинах при всех режимах общий перепад давления распределяется поровну между ротором и статором. В этих условиях гидравлическая сила
(2.37)
Перепад давления Δ р т в турбине определяется по ее характеристике, а перепады давления в долоте и осевой опоре выбирают из таблиц или рассчитывают по формуле

где а —коэффициент гидравлических сопротивлений, зависящий от размеров и формы проточных каналов долота и пяты.
Пример 2.4 Определить крутящий момент н мощность турбобура ЗТСШ1-195ТЛ. Дано: частота вращения n =350 об/мин; средний расчетный диаметр ротора Dср=0,13 м; площадь проточных каналом ступени F=0,00625 м2; расход жидкости Q = 0,03 м3/с; углы на выходе из статора α1 = 30 °, на входе α2=60 °; плотность раствора ρ=1200 кг/м3; k= 100 число ступеней в секани турбобура: η=0,5 — к.п.д.
Решение.
Находим осевую скорость потока по формуле (2.1)

Определяем величину проекций скоростей потока по формуле (2.23): на выходе из статора

на выходе из ротора

Момент, развиваемый одной ступенью турбины, из выражения (2.24)

Угловая скорость вала турбобура

Мощность ступени турбобура

Мощность секции турбобура

Пример 2.5. Определить коэффициент расхода ступени и коэффициент циркулятивности ступени турбобура ЗТСШ1-195ТЛ. Данные из примера 2.4.
Решение.
Находим окружную скорость на среднем диаметре

Коэффициент расхода ступени определяем по формуле (2.28)

Коэффициент циркулятивности турбины из выражения (2.27)

В высокоциркулятивных турбинах коэффициент циркулятивности си> 1.