Для эффективного использования турбобура его диаметр и тип следует выбирать в зависимости от конкретных условий бурения. Наружный диаметр турбобура должен быть на 25— 30 мм меньше диаметра долота. Требования к характеристике турбобура и числу его секций определяются условиями обеспечения необходимого режима работы долота Эффективность бурения во многих случаях зависит от соотношения величины гидравлической мощности, подводимой к долоту к турбобуру. Количество прокачиваемой жидкости определяется типом и размером долота, а не характеристикой турбобура, который является средством для привода долота во вращение. Опора турбобура должна допускать любую осевую нагрузку, которая требуется для работы долота.
Полезная мощность насосной установки
(2.28)
где N д— мощность, подводимая к долоту (50—60 % полезной мощности насосов); N бк — мощность, затрачиваемая на прокачку жидкости через бурильную колонну;
N т — мощность, затрачиваемая на вращение вала турбобура; N 3п — мощность затрачиваемая на прокачку жидкости в затрубном пространстве и на подъем выбуренной породы (5—10 % полезной мощности). Таким образом, N бки N тдолжны составлять 30—45.
|
|
|
Гидравлическая мощность, расходуемая в турбобуре,
(2.29)
Потери мощности в бурильной колонне и других элементах циркуляционной системы вычисляются по формулам в разделе 2.4.
При постоянном давлении на выходе насосов р н=const наибольшая мощность будет подведена к долоту, когда перепад давления на турбобуре
(2.30)
где
— потери давления в бурильной колонне и манифольде; Δ р зп — потери давления в затрубном пространстве.
Мощность на валу турбобура
(2.31)
Здесь η — общий к.п.д. турбобура; Q — расход жидкости.
Для выбора турбобура и определения необходимых параметров и режима работы буровых насосов делают расчеты или определяют их параметры по номограммам, чтобы обеспечить оптимальные параметры прокачивания раствора через долото с учетом необходимых мощности и давления на турбобуре и количества раствора в остальных элементах циркуляционной системы.
Расход промывочной жидкости определяется исходя из механических свойств горных пород и площади кольцевого пространства между бурильными трубами и стенками скважины. Для каждого интервала одного диаметра в соответствии с принятой конструкцией скважины рассчитываются рациональные значения расхода промывочной жидкости. При турбинном бурении необходимо выбрать рациональные типы турбобуров для конкретного интервала бурения в соответствии с принятой конструкцией скважины и свойствами горных пород.
Если известен тип турбобура, то параметры режима бурения рассчитывают следующим образом.
|
|
|
Осевая нагрузка на долото определяется так же, как и при роторном бурении.
Расход промывочной жидкости определяется исходя из механических свойств горных пород и площади кольцевого пространства между бурильными трубами и стенками скважины. Для каждого интервала одного диаметра в соответствии с принятой конструкцией скважины рассчитываются рациональные значения расхода промывочной жидкости по формуле (1.4, 1.6, 1.8 и Рис.1.2).
Для расчета частоты вращения используется методика, учитывающая реальные значения расхода промывочной жидкости и других буровых параметров.
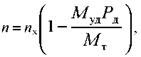
Частота вращения определяется по формуле (2.32)
![]() |
(2.32)
где пх - частота вращения при холостом ходе турбобура, мин-1; Муд -удельный момент на долоте, Нм/кН; Мт - тормозной момент турбобура, Нм.
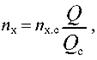
Величины пх и Мт определяются с учетом фактических характеристик для данного интервала бурения расхода и плотности промывочной жидкости по зависимостям
(2.33)
(2.34)
где пхс, Мтс, Qc и рс - табличные данные стендовых характеристик частоты вращения вала турбобура, тормозного момента, расхода и плотности промывочной жидкости соответственно; Q и р - фактические расход и плотность промывочной жидкости.
Данные по всем видам турбобуров приведены в табл. 2.3
Значения удельного момента для долот различного диаметра и пород различной твердости приведены в табл. 2.4
Таблица 2.3
Основные параметры турбобуров (ТУ 26-02-367-71)
| Параметры | ЗТСШ- | зтсш- | зтсш- | ЗТСШ-240 | ЗТСШ-164ТЛ | зтсш- 196ТЛ | А6КЗС | А7Н4С | А9К5Са | ЗТСШ1- | ЗТСШ1-195 | ЗТСШ1-195ТЛ |
| Назначение | Бурение вертикальных и наклонных скважин | |||||||||||
| Тип | Шпиндельный | Секционный с наклонной линией давления | Шпиндельный | |||||||||
| Число секций | ||||||||||||
| В том числе: | ||||||||||||
| турбинных | ||||||||||||
| шпиндельных | - | - | - | |||||||||
| Число ступеней турбины | ||||||||||||
| Расход жидкости, дм3/с | ||||||||||||
| - |
Продолжение табл. 2.3
| Параметры | ЗТСШ- | ЗТСШ-195 | ЗТСШ- | зтсш- | ЗТСШ-164ТЛ | зтсш- 196ТЛ | А6КЗС | А7Н4С | А9К5Са | ЗТСШ1- | ЗТСШ1-195 | ЗТСШ1-195ТЛ | |
| Максимальная мощность, | ПО | - | - | - | |||||||||
| кВт | - | - | - | ||||||||||
| Частота вращения вала, рад/с (об/мин): | |||||||||||||
| при максимальной мощ- | 47,10 | 50,76 | 39,77 | 43,96 | 46,05 | 36,11 | 31,4- | 31,4- | 20,93 | 52,86 | 41,87 | 37,16 | |
| ности | (450) | (485) | (380) | (420) | (440) | (345) | 41,87* | 52,33 | (200) | (505) | (400) | (355) | |
| 52,33 | 55,47 | 42,39 | 47,10 | 48,15 | 40,82 | (300- | (300- | 31,4 | 65,94 | 49,2 | 41,87 | ||
| (500) | (530) | (405) | (450) | (460) | (390) | 400)* | 500)* | (300)* | (630) | (470) | (400) | ||
| на холостом режиме | 94,2 | 101,53 | 79,55 | 87,92 | 92,11 | 72,22 | 125,6 | 115,13 | 62,8 | 105,71 | 83,73 | 74,31 | |
| (900) | (970) | (760) | (840) | (880) | (690) | (1200)* | (1000)* | (600)* | (1010) | (800) | (710) | ||
| 115,13 | 110,95 | 84,78 | 94,2 | 100,48 | 81,64 | - | - | - | 131,88 | 98,39 | 83,73 | ||
| (1000) | (1060) | (810) | (900) | (960) | (780) | (1260) | (940) | (800) | |||||
| Вращающий момент, Нм: | |||||||||||||
| при максимальной мощ- | 700- | 1800- | 2000- | ||||||||||
| ности | |||||||||||||
| при тормозном режиме | |||||||||||||
| Перепад давления в турбине | 5,0 | 5,0 | 4,5 | 5,0 | 5,0 | 3,0 | - | - | - | 6,0 | 3,5 | 3,0 | |
| при максимальной мощ- ности, МПа | 6,5 | 6,0 | 5,0 | 5,5 | 5,5 | 4,0 | 7,0 | 7,0 | 5,0 | 9,5 | 4,0 | 4,0 | |
| КПД турбины, % | |||||||||||||
| Габаритные размеры, мм: | |||||||||||||
| диаметр | |||||||||||||
| длина | 25 330 | 23 550 | 24 500 | 23 550 | 25 500 | 26 ПО | 15 800 | 15 330 | 15 290 | 25 800 | 25 905 | 25 905 | |
| Масса, кг |
Таблица 2.4
|
|
|

Таблица 2.5
Характеристики удельного момента для долот, не указанных в табл.2.5, находятся методом интерполяции либо по зависимости







