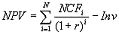
Чистая приведенная стоимость (чистый приведенный доход) - NPV рассчитывается с использованием прогнозируемых денежных потоков, связанных с планируемыми инвестициями, по следующей формуле:

где NCFi - чистый денежный поток для i-го периода,
Inv - начальные инвестиции
r - ставка дисконтирования (стоимость капитала, привлеченного для инвестиционного проекта).
При положительном значении NPV считается, что данное вложение капитала является эффективным.
Период окупаемости - PBP показывает срок, необходимый для того, чтобы доходы, генерируемые инвестициями, с учетом дисконтирования, покрыли затраты на инвестиции. Этот показатель определяется последовательным расчетом NPV для каждого периода проекта, и точка, в которой NPV станет положительным, будет являться точкой окупаемости.
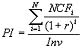
Индекс прибыльности (Profitability Index, PI) рассчитывается по следующей формуле:

где NCFi - чистый денежный поток для i-го периода,
Inv - начальные инвестиции
r - ставка дисконтирования (стоимость капитала, привлеченного для инвестиционного проекта).
При значениях PI > 1 считается, что данное вложение капитала является эффективным.
Внутренняя норма рентабельности - IRR (Internal Rate of Return, IRR) определяет максимальную стоимость привлекаемого капитала, при которой инвестиционный проект остается выгодным. В другой формулировке, это средний доход на вложенный капитал, обеспечиваемый данным инвестиционным проектом, т.е. эффективность вложений капитала в данный проект равна эффективности инвестирования под IRR процентов в какой-либо финансовый инструмент с равномерным доходом.
IRR рассчитывается как значение ставки дисконтирования, при которой NPV=0. Как правило, значения IRR находят либо графическими методами (построив график зависимости NPV от ставки дисконтирования), либо с помощью специализированных программ. IRR не всегда может быть корректно получен из уравнения NPV=0, при определенных значениях денежных потоков это уравнение может не иметь решений или иметь несколько решений. В таких ситуациях IRR проекта считается неопределенным. Для того, чтобы исключить эти сложности, иногда используется модифицированная внутренняя норма рентабельности, хотя этот показатель распространен значительно меньше, чем IRR.






