Типичным индексом количественных показателей является индекс физическою объема. Сложность при построении этого индекса заключается в том, что объемы разных видов продукции в натуральном выражении несоизмеримы и непосредственно суммироваться не могут.
.Показатели-сомножители, связанные с индексируемыми величинами, принято называть весами индексов или соизмерителями, а умножение на них - взвешиванием. Отношение стоимости продукции отчетного периода к стоимости продукции базисного периода представляет собой агрегатный индекс стоимости продукции:

Изменение стоимости продукции зависит от двух факторов: изменения количества продукции и изменения цен. агрегатный индекс физического объема:
Разность числителя и знаменателя индекса дает абсолютный прирост стоимости продукции, обусловленный изменением ее физического объема:
Пр
.

При построении агрегатных индексов количественных показателей необходимо придерживаться следующего правила: веса индекса, или соизмерителв, которые всегда являются качественными показателями, фиксируются на уровне базисного периода.
|
|
|
Агрегатный способ
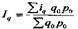
К исчислению таких средневзвешенных индексов прибегают тогда, когда имеющаяся в распоряжении информация не позволяет рассчитать агрегатный индекс. Исходной базой построения средневзвешенного индекса физического объема продукции служит его агрегатная форма. Можно записать следующую формулу среднего арифметического индекса физического объема продукции:

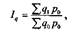
По аналогии можно записать средний гармонический индекс физического объема:







