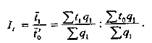
Рассмотрим построение этих индексов на примере динамики средней трудоемкости единицы продукции (средних затрат времени на единицу продукции): (I
)

Этот индекс называется индексом среднего уровня или индексом переменного состава. Он характеризует изменение среднего уровня в целом за счет двух факторов: изменения осредняемых уровней (индексируемой величины) и влияния структурных сдвигов, т. е. изменения удельных весов единиц совокупности с различным уровнем значений индексируемого признака. Поэтому индекс переменного состава можно разложить на два индекса-сомножителя, каждый из которых отражает влияние только одного из факторов, определяющих средний уровень. Первый индекс -сомножитель отражает изменение только индексируемой величины, а веса берутся постоянные (фиксированные), по отчетному периоду:
Этот индекс называется индексом постоянного (фиксированного) состава. Он показывает, как изменяется средний уровень изучаемого показателя только за счет изменения непосредственно индексируемой величины (t).
Второй индекс -сомножитель отражает изменение только структуры (состава) изучаемой совокупности, а уровни осредняемого показателя остаются неизменными (постоянными) и берутся по базисному периоду:
Этот индекс называется индексом структурных сдвигов. Он отражает изменение среднего уровня изучаемого показателя только за счет влияния структурных сдвигов.
Индекс переменного состава будет определяться по такой формуле:
удельные веса количества продукции соответственно за базисный и отчетный периоды.






