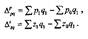
Агрегатный индекс цен с отчетными весами известен в статистике как индекс Пааше и записывается следующим образом:
фактическая стоимость продукции отчетного периода; - стоимость продукции отчетного периода в ценах Базисного.
Общий индекс цен, рассчитываемый по формуле Пааше, характеризует, во сколько раз возрос в среднем уровень


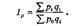
индекс цен Лас-Пейреса с весами базисного периода:
. 
Поэтому в ряде случаев используется индекс Фишера, который рассчитывается как среднее геометрическое из индексов цен Пааше и Ласпейоеса:







