Проводник, c протекающим по нему электрическим ток, всегда окружен магнитным полем, причем магнитное поле исчезает и появляется вместе с исчезновением и появлением тока. Магнитное поле, подобно электрическому, является носителем энергии. Логично предположить, что энергия магнитного поля совпадает с работой, затрачиваемой током на создание этого поля.
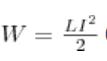
Рассмотрим контур индуктивностью L, по которому протекает ток I. С этим контуром сцеплен магнитный поток Ф=LI, поскольку индуктивность контура неизменна, то при изменении тока на dI магнитный поток изменяется на dФ=LdI. Но для изменения магнитного потока на величину dФ следует совершить работу dА=IdФ=LIdI. Тогда работа по созданию магнитного потока Ф равна:

Значит, энергия магнитного поля, которое связано с контуром:

Энергию магнитного поля можно рассматривать как функцию величин, которые характеризуют это поле в окружающем пространстве.
17. Объемная плотность энергии магнитного поля.
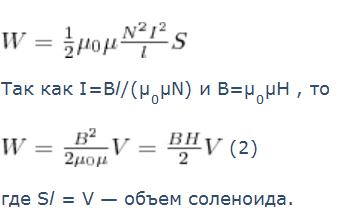
Энергию магнитного поля можно рассматривать как функцию величин, которые характеризуют это поле в окружающем пространстве. Для этого рассмотрим частный случай — однородное магнитное поле внутри длинного соленоида. Подставив в формулу
формулу индуктивности соленоида, найдем:

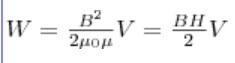
Магнитное поле внутри соленоида однородно и сосредоточено внутри него, поэтому энергия
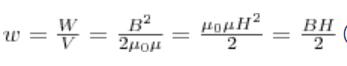
заключена в объеме соленоида и имеет с нем однородное распределение с постоянной объемной плотностью:

Формула для объемной плотности энергии магнитного поля имеет вид, аналогичный выражению для объемной плотности энергии электростатического поля, с тем отличием, что электрические величины заменены в нем магнитными. Формула выводилась для однородного поля, но она верна и для неоднородных полей. Формула справедлива только для сред, для которых линейная зависимость В от Н, т.е. оно относится только к пара- и диамагнетикам.