Индуктивность — коэффициент пропорциональности между электрическим током, текущим в каком-либо замкнутом контуре, и магнитным потоком, создаваемым этим током через поверхность, краем которой является этот контур.
В формуле: Ф=L*I
Ф – магнитный поток. L – ток в контуре. I – индуктивность.
Нередко говорят об индуктивности прямого длинного провода (см.). В этом случае и других случаях, когда замкнутый контур непросто адекватно и однозначно указать, приведённое выше определение требует особых уточнений; отчасти полезным для этого оказывается подход (упоминаемый ниже), связывающий индуктивность с энергией магнитного поля.
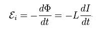
Через индуктивность выражается ЭДС самоиндукции в контуре, возникающая при изменении в нём тока:

Из этой формулы следует, что индуктивность численно равна ЭДС самоиндукции (в вольтах), возникающей в контуре при изменении силы тока на 1 А за 1 с.
Свойства индуктивности:
Индуктивность всегда положительна.
Индуктивность зависит только от геометрических размеров контура и магнитных свойств среды (сердечника).