Релятивистская механика изучает законы движения при скоростях, близких к скорости света.
Специальная теория относительности (СТО) - теория, созданная Эйнштейном на основе двух постулатов.
I постулат (принцип относительности Эйнштейна): никакими физическими опытами (механическими, электрическими, оптическими), произведенными в инерциальной системе отсчета, невозможно установить, покоится эта система или движется равномерно и прямолинейно => равноправность всех инерциальных систем.
II постулат (принцип постоянства скорости света): скорость света в вакууме с одинакова во всех инерциальных системах отсчета по всем направлениям. Она не зависит от движения источника света и наблюдателя.
Энергия покоя частицы
E0 = m0c2 (тут 0 – индекс)
Закон взаимосвязи массы и энергии
E = mc2
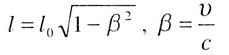
Длина в движущейся системе отсчета:

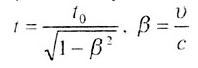
Время в движущейся системе отсчета:

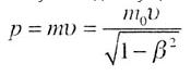
Импульс в движущейся системе отсчета:

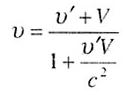
Релятивистский закон сложения скоростей:

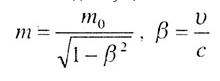
Масса в движущейся системе отсчета:







