2.3.1 Определяем максимальное напряжение на участке коллектор-эммитер регулирующего транзистора VT1:
Uкэмах=Uвх+∆ Uвх-Uн.мin (1)
2.3.2 Определяем максимальную мощность, рассеиваемую на VT1:
PK1max= Uкэмах*Iн.мах (2)
По результатам расчётов Uкэмах и PK1max из справочника по полупроводниковым приборам выбираем транзистор VT1 для которого:
Uкэмах< Uкэмах.доп
Iн.мах< Iк.доп
PK1max< PK1max.доп.
выбираем транзистор … с параметрами:
Uкэ.доп=…В;
Iк.доп=…А;
PKmax=…Вт;
h21э=…;
rk1=…кОм.
2.3.3 Для создания опорного напряжения Uоп выбираем стабилитрон … с параметрами:
Uстаб= Uоп=…В;
Rд=…Ом;
Iст.ном=…мА.
2.3.4 Определяем максимальное напряжение коллектор-эмитер Uкэ2мах усилителя на транзисторе VT2:
Uкэ2мах = Uн.мах- Uоп (3)
2.3.5 Исходя из условия
Uкэ2мах< Uкэмах.доп
выбираем в качестве VT2 транзистор … с параметрами:
Uкэ.мах=…В;
Iк.мах=…мА;
h21э=….
2.3.6 Полагая, что
Ik2≈Iэ2<Iк2доп. (4)
пусть Iэ2=…мА находим сопротивление балансного резистора:
(5)
где
(6)
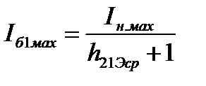
2.3.7 Определяем ток входа:
(7)
где h21эср – среднее значение коэффициента передачи тока транзистора VT1.
|
|
|
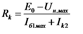
3 Определяем сопротивление резистора в цепи коллектора:
(8)
2.3.10 Определяем сопротивления резисторов делителя R1,R2,R3. Условимся считать, что если движок потенциометра R2 находится вверху, то Uвых минимально: Uн.мin, а Сли внизу, то Uн.мах:
Uн.мin- Uоп = Iдел·R1 (9)
Uоп = Iдел ·R3 (10)
Uн.мах – Uоп =(R1+R2) (11)
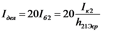
2.3.11 Выбрав ток делителя равным:
(12)
где h21эср – среднее значение коэффициента передачи тока транзистором VT2.
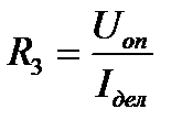
2.3.12 Находим R1, R2, R3:
(13)
(14)
(15)
2.3.13 Определяем коэффициент стабилизации:
(16)
Содержание отчета:
Отчет по практической работе должен содержать:
1 Название и цель работы.
4 Исходные данные для расчета согласно своему варианту.
5 Расчетную схему.
6 Выполнение расчетов, сопровождаемое пояснениями к каждому действию.
7 Вывод по работе.
Контрольные вопросы:
1 По каким параметрам подбирают стабилитрон при расчете параметрического стабилизатора напряжения?
8 Когда применяют параметрические стабилизаторы напряжения?
9 Опишите принцип действия параметрического стабилизатора напряжения.
Таблицы выбора вариантов заданий учащихся для практической работы №3
Таблица 1
| Вариант | UСТАБ, В | RН, кОм |
| 1,0 | ||
| 1,1 | ||
| 1,2 | ||
| 1,3 | ||
| 1,4 | ||
| 1,5 | ||
| 1,6 | ||
| 1,7 | ||
| 1,8 | ||
| 1,9 | ||
| 2,0 | ||
| 2,2 | ||
| 2,1 | ||
| 2,0 | ||
| 1,9 | ||
| 1,8 | ||
| 1,7 | ||
| 1,6 | ||
| 1,5 | ||
| 1,4 | ||
| 1,3 | ||
| 1,2 | ||
| 1,1 | ||
| 1,0 | ||
| Вариант | UСТАБ, В | RН, кОм |
| 1,1 | ||
| 1,2 | ||
| 1,3 | ||
| 1,4 | ||
| 1,5 | ||
| 1,6 | ||
| 1,7 | ||
| 1,8 |
Таблица 2
|
|
|
| Вари- ант | UВХ, В | ∆UВХ, В | IНMAX, А | КСТ≥ | Е0, В | UНmin, В | UНmax, В | UОП, В |
| 1,0 | 1,5 | 0,9 | ||||||
| 1,2 | 1,4 | 0,8 | ||||||
| 1,4 | 1,3 | |||||||
| 1,5 | 1,2 | 0,95 | ||||||
| 1,3 | 1,1 | 0,85 | ||||||
| 1,6 | 1,0 | 0,8 | ||||||
| 1,7 | 1,6 | 0,7 | ||||||
| 1,8 | 1,7 | 0,75 | ||||||
| 1,9 | 1,8 | 0,9 | ||||||
| 2,0 | 1,9 | 0,95 | ||||||
| 2,1 | 1,0 | 0,85 | ||||||
| 2,2 | 1,1 | 0,75 | ||||||
| 2,3 | 1,2 | |||||||
| 2,4 | 1,3 | |||||||
| 2,5 | 1,4 | 0,8 | ||||||
| 2,0 | 1,5 | 0,9 | ||||||
| 2,1 | 1,6 | 0,7 | ||||||
| 2,2 | 1,0 | 0,75 | ||||||
| 2,3 | 1,1 | 0,85 | ||||||
| 1,0 | 1,2 | 0,95 | ||||||
| 1,1 | 1,3 | |||||||
| 1,2 | 1,4 | 0,9 | ||||||
| 1,3 | 1,7 | 0,8 | ||||||
| 1,4 | 1,8 | 0,7 | ||||||
| 1,5 | 1,2 | 0,75 | ||||||
| 1,6 | 1,4 | 0,85 | ||||||
| 1,7 | 1,6 | 0,95 | ||||||
| Вари- ант | UВХ, В | ∆UВХ, В | IНMAX, А | КСТ≥ | Е0, В | UНmin, В | UНmax, В | UОП, В |
| 1,8 | 1,0 | |||||||
| 1,9 | 1,1 | 0,95 | ||||||
| 2,0 | 1,2 | 0,85 | ||||||
| 2,1 | 1,3 | 0,75 | ||||||
| 2,2 | 1,4 | 0,7 |






