Мультивибратор представляет собой импульсный автогенератор и предназначен для генерации периодической импульсной последовательности. Форма выходных импульсов мультивибратора близка к прямоугольной, а скважность находится в пределах от 2 до 20. Для таких генераторов характерно чередование интервалов времени, когда напряжение на выводах транзисторов изменяется медленно или не изменяется вовсе, с моментами лавинообразного и быстрого его изменения – перепадами, которые на экране осциллографа наблюдаются как разрывы.
Рассмотрим работу мультивибратора в автоколебательном режиме.
Пусть в начальный момент времени транзистор VT1 открыт (рисунок 1), насыщен и напряжение UKVT1 на его коллекторе мало. При этом конденсатор С2 разряжен почти до нуля, а конденсатор С4 заряжен почти до напряжения Ек источника, причем его электрод, подключенный к базе транзистора VT1, заряжен положительно. Транзистор VT2 закрыт, напряжение на его коллекторе близко к напряжению источника Ек. Напряжение на базе VT2 приближается к нулю.
|
|
|
Сразу же вслед за этим моментом напряжение на базе транзистора VT2 становится отрицательным, так как завершается заряд конденсатора С2 через насыщенный транзистор VT1, источник питания Ек и резистор R2. Появляется ток базы транзистора VT2, он начинает открываться. Напряжение на его коллекторе уменьшается из-за падения напряжения на резисторе R4, вследствие чего начинает закрываться транзистор VT1, так как напряжение на его базе также уменьшается. При этом напряжение на коллекторе транзистора VT1 увеличивается, что приводит к увеличению напряжения на базе транзистора VT2 и увеличению его базового тока IБ2, проходящего по цепи: +Ек (корпус) → эмиттер-база транзистора VT2 → параллельно включенные резисторы R1 и R2. В результате транзистор VT2 переходит в насыщение и напряжение на его коллекторе уменьшается до UКЭVT2min. К базе транзистора VT1 через насыщенный транзистор VT2 подключается заряженный почти до напряжения источника Ек конденсатор С4, а транзистор VT1 закрывается.
Процесс переключения мультивибратора в новое временно устойчивое состояние происходит лавинообразно.
Далее в схеме происходят следующие процессы:
- напряжение на коллекторе транзистора VT1 сначала увеличивается по экспоненте, так как ток заряда Iз – конденсатора С2 создает падение напряжения на резисторе R1, уменьшающееся по мере заряда, а затем по окончании заряда коллекторное напряжение транзистора VT1 становится близким к напряжению источника Ек;
- напряжение UКЭVT2min на коллекторе транзистора VT2 мало;
- напряжение на базе транзистора VT1 положительное и уменьшается по экспоненте в соответствии с разрядом конденсатора С4 током Iр по цепи: +С4 → R3 → -Ек → +Ек (корпус), → насыщенный VT2 → С4;
|
|
|
- напряжение на базе транзистора VT2 сначала увеличивается, а затем уменьшается по экспоненте до уровня, определяемого током, проходящим через резистор R2. Выброс и экспоненциальный спад напряжения объясняют тем, что ток заряда конденсатора С2 через переход эмиттер – база транзистора VT2 близок к току коллектора транзистора VT1 в режиме насыщения, а затем по мере заряда конденсатора С2 этот ток уменьшается по экспоненте, при этом одновременно уменьшается напряжение на эмиттерном переходе транзистора VT2;
- по окончании заряда конденсатора С2 ток базы транзистора VT2 определяется сопротивлением резистора R2; этот ток должен быть достаточным для удержания транзистора VT2 в насыщении.
Далее конденсатор С4 разряжается до нуля и начинается процесс опрокидывания схемы в первое временно устойчивое состояние. При этом появляются токи базы и коллектора транзистора VT1, уменьшается напряжение на его коллекторе, он опрокидывается и переходит в насыщение, а конденсатор С4 заряжается через эмиттерный переход транзистора VT1. Временно устойчивое состояние длиться, пока конденсатор С2 не разрядиться до нуля. Длительности импульсов мультивибратора:
, (1)
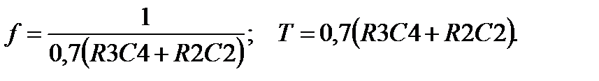
а частота и период следования:
, (2)
Если номинальные значения времязадающих элементов схемы, попарно одинаковы, т.е. R2=R3=R и С2=С4=С, мультивибратор становится симметричным и генерирует импульсы со скважностью 2. Временные параметры выходного сигнала симметричного мультивибратора определяют по формулам:
, (3)
Длительность фронтов отрицательных перепадов на коллекторах транзисторов определяют по формулам:
, (4)






